🇳🇴 🇬🇧 🇩🇪 🇨🇿 🇫🇮

Meteor, poloha: Järna 2020-11-28 02:28:52 UTC

Soubor KML  |  InteraktivnĂ­ mapa

Mapa zobrazuje dráhy meteoru. Světlejší čáry ukazují směry od pozorovacích stanic při objevení se meteoru a tmavší čáry, kde byl naposledy viděn. Modrá šipka značí viditelnou dráhu meteoru.

static map
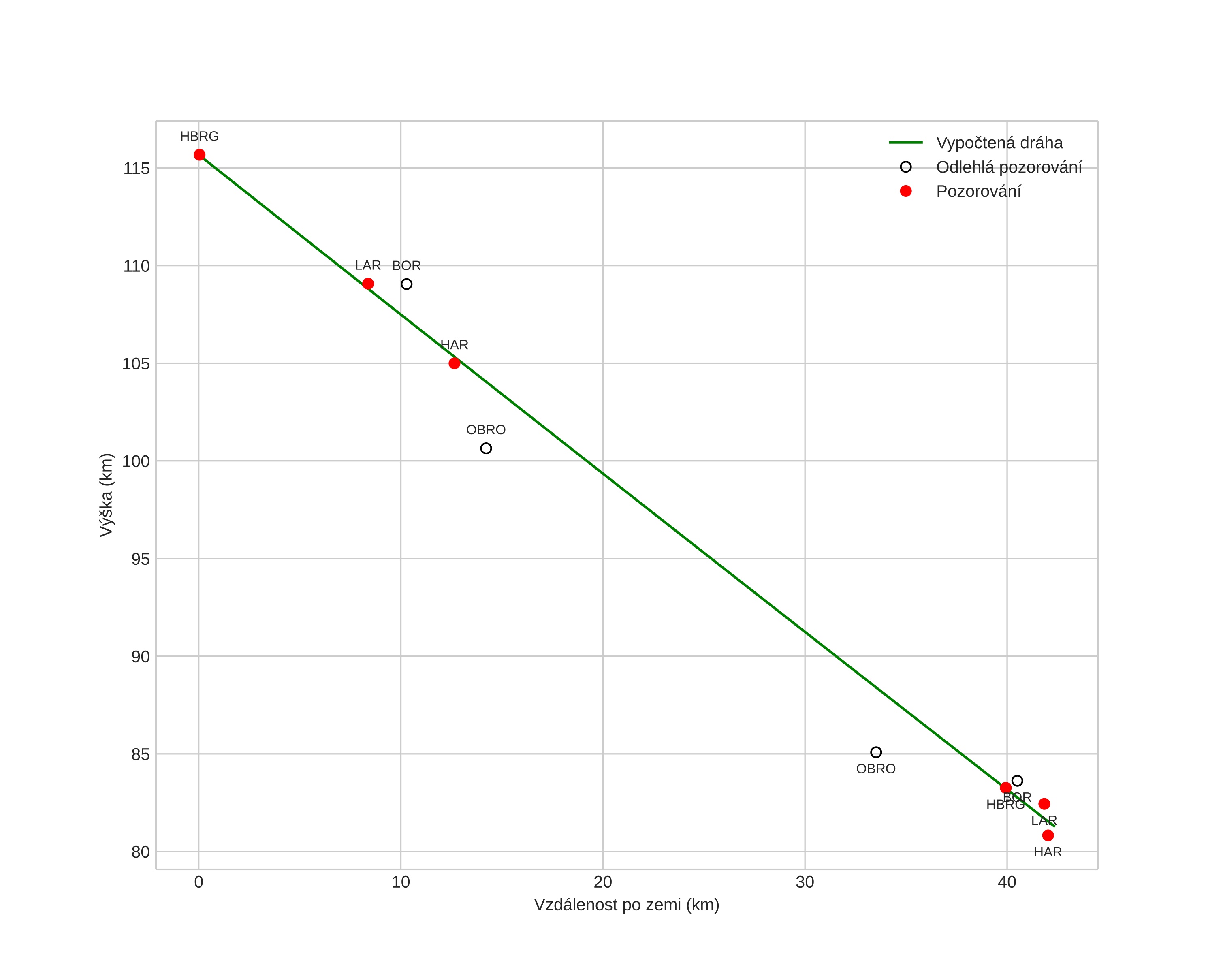
height profile
Atmosférická dráha meteoru:
Počáteční výška: 110,6 km
Konečná výška: 82,1 km
Počáteční poloha: 60,073N 14,932E
Konečná poloha: 60,242N 14,381E
Směr: 301,8°
Sklon: 38,5°
VstupnĂ­ rychlost: 70,3 km/s
Rektascenze radiantu: 10:56 (164,1°)
Deklinace radiantu: 19,3°
MeteorickĂ˝ roj: Leonidy
Elementy dráhy meteoroidu:
Vzdálenost v periheliu: 0,984 AU
Excentricita: 0,792
Sklon dráhy: 159,8°
Délka vzestupného uzlu: 246,0°
Argument perihelia: 173,9°
Střední anomálie: 0,4°
Epocha: 2020 NOV 28 02:28:52
orbit plot

NeinteraktivnĂ­ graf | InteraktivnĂ­ graf

position vs time
speed and acceleration