🇳🇴 🇬🇧 🇩🇪 🇨🇿 🇫🇮

Meteor, poloha: Kviteseid 2020-12-01 06:18:25 UTC

Soubor KML  |  InteraktivnĂ­ mapa

Mapa zobrazuje dráhy meteoru. Světlejší čáry ukazují směry od pozorovacích stanic při objevení se meteoru a tmavší čáry, kde byl naposledy viděn. Modrá šipka značí viditelnou dráhu meteoru.

static map
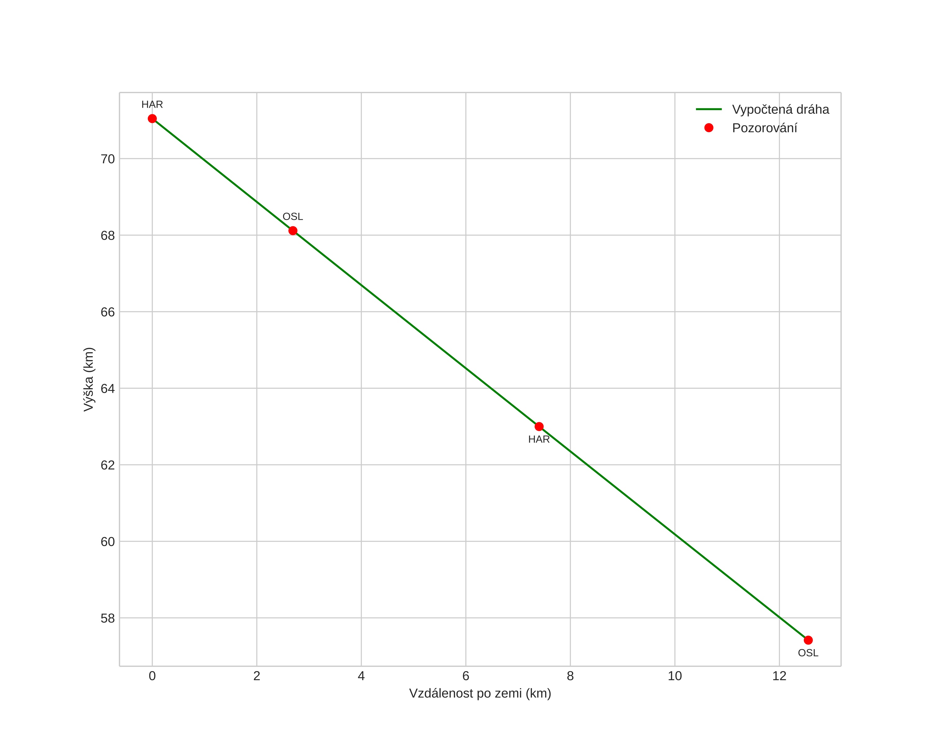
height profile
Atmosférická dráha meteoru:
Počáteční výška: 73,6 km
Konečná výška: 61,7 km
Počáteční poloha: 59,586N 8,373E
Konečná poloha: 59,497N 8,367E
Směr: 182,1°
Sklon: 50,2°
VstupnĂ­ rychlost: 21,8 km/s
Rektascenze radiantu: 23:19 (349,9°)
Deklinace radiantu: 77,4°
MeteorickĂ˝ roj: sporadickĂ˝
Elementy dráhy meteoroidu:
Vzdálenost v periheliu: 0,920 AU
Excentricita: 0,536
Sklon dráhy: 28,4°
Délka vzestupného uzlu: 249,2°
Argument perihelia: 216,0°
Střední anomálie: 350,4°
Epocha: 2020 DEC 01 06:18:25
orbit plot

NeinteraktivnĂ­ graf | InteraktivnĂ­ graf

position vs time
speed and acceleration