🇳🇴 🇬🇧 🇩🇪 🇨🇿 🇫🇮

Meteor, poloha: Øksfjord 2020-12-05 23:25:02 UTC

Soubor KML  |  Interaktivní mapa

Mapa zobrazuje dráhy meteoru. Světlejší čáry ukazují směry od pozorovacích stanic při objevení se meteoru a tmavší čáry, kde byl naposledy viděn. Modrá šipka značí viditelnou dráhu meteoru.

static map
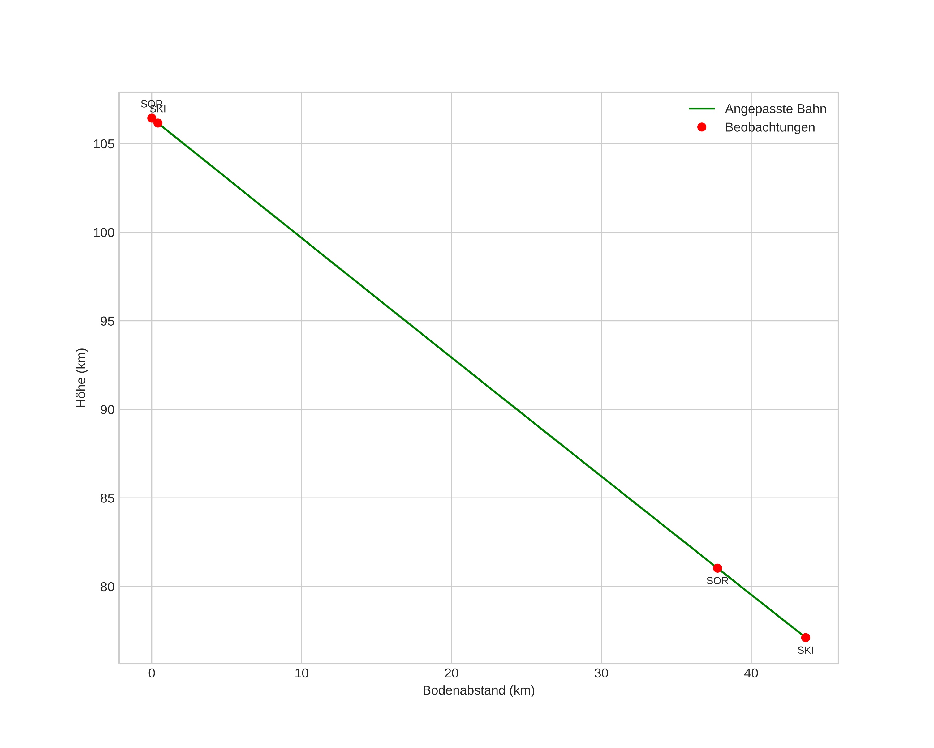
height profile
Atmosférická dráha meteoru:
Počáteční výška: 102,9 km
Konečná výška: 75,0 km
Počáteční poloha: 70,586N 23,102E
Konečná poloha: 70,332N 22,272E
Směr: 227,9°
Sklon: 33,7°
Vstupní rychlost: 59,4 km/s
Rektascenze radiantu: 13:54 (208,5°)
Deklinace radiantu: 44,8°
Meteorický roj: sporadický
Elementy dráhy meteoroidu:
Vzdálenost v periheliu: 0,936 AU
Excentricita: 1,441
Sklon dráhy: 95,3°
Délka vzestupného uzlu: 254,0°
Argument perihelia: 156,1°
Střední anomálie: 4,6°
Epocha: 2020 DEC 05 23:25:02
orbit plot

Neinteraktivní graf | Interaktivní graf

position vs time
speed and acceleration