🇳🇴 🇬🇧 🇩🇪 🇨🇿 🇫🇮

Meteor Øksfjordin yllä 2020-12-05 23:25:02 UTC

KML-tiedosto  |  Interaktiivinen kartta

Kartta näyttää meteorin suuntahavainnot. Vaaleammat viivat näyttävät suunnat havaintoasemilta meteorin ilmestyessä, ja tummemmat viivat näyttävät, missä se viimeksi nähtiin. Sininen nuoli näyttää meteorin näkyvän lennon.

static map
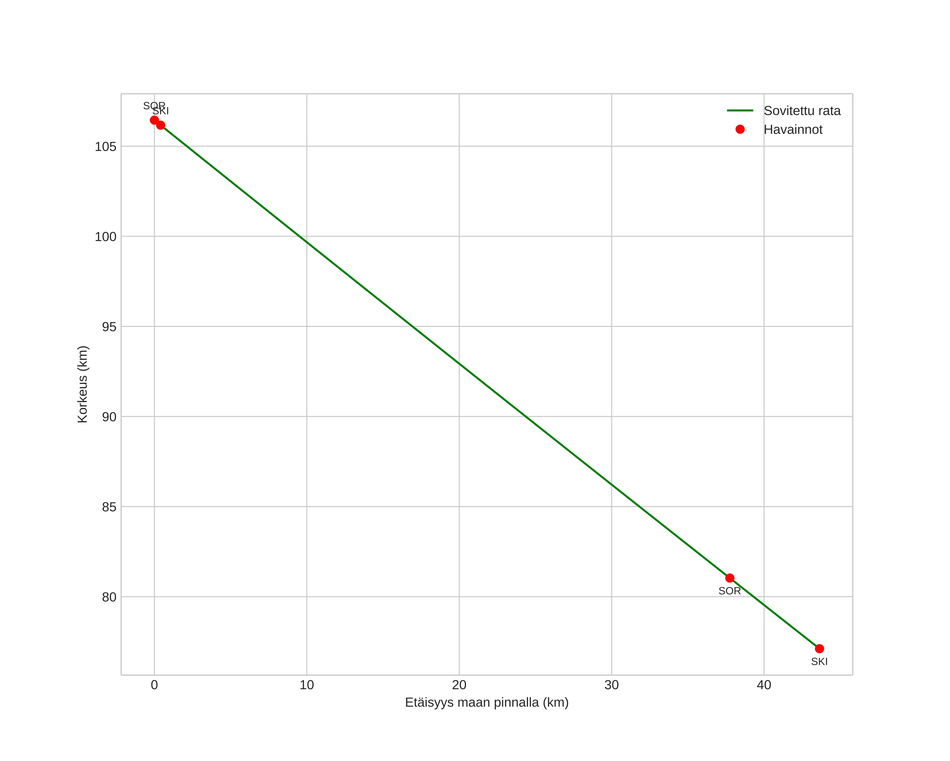
height profile
Meteorin ilmakehärata:
Alkukorkeus: 102,9 km
Loppukorkeus: 75,0 km
Alkupiste: 70,586N 23,102E
Loppupiste: 70,332N 22,272E
Suunta: 227,9°
Kallistuskulma: 33,7°
Tulonopeus: 59,4 km/s
Radiantin R,A,: 13:54 (208,5°)
Radiantin Dekl,: 44,8°
Meteoriparvi: Sporadinen
Meteoroidin rataelementit:
Perihelietäisyys: 0,936 AU
Eksentrisyys: 1,441
Inklinaatio: 95,3°
Nousevan solmun pituus: 254,0°
Perihelin argumentti: 156,1°
Keskianomalia: 4,6°
Epookki: 2020 DEC 05 23:25:02
orbit plot

Ei-interaktiivinen kuvaaja | Interaktiivinen kuvaaja

position vs time
speed and acceleration