🇳🇴 🇬🇧 🇩🇪 🇨🇿 🇫🇮

Meteor, poloha: Bjerkvik 2020-12-06 06:24:18 UTC

Soubor KML  |  InteraktivnĂ­ mapa

Mapa zobrazuje dráhy meteoru. Světlejší čáry ukazují směry od pozorovacích stanic při objevení se meteoru a tmavší čáry, kde byl naposledy viděn. Modrá šipka značí viditelnou dráhu meteoru.

static map
height profile
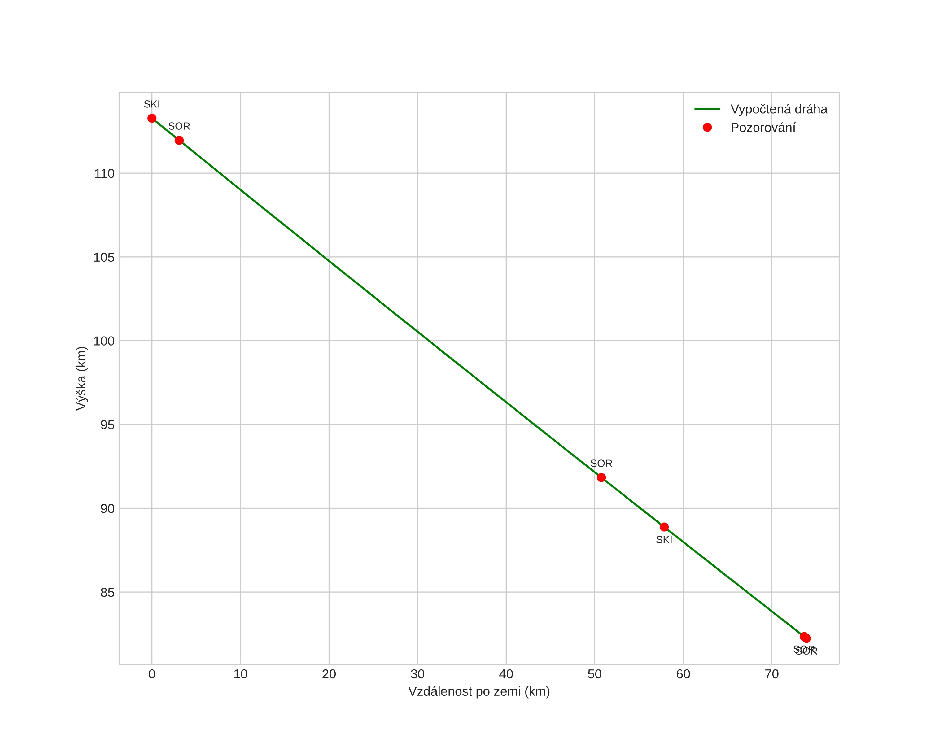
Atmosférická dráha meteoru:
Počáteční výška: 112,4 km
Konečná výška: 82,3 km
Počáteční poloha: 68,020N 16,975E
Konečná poloha: 68,621N 17,575E
Směr: 19,9°
Sklon: 22,9°
VstupnĂ­ rychlost: 73,0 km/s
Rektascenze radiantu: 11:18 (169,7°)
Deklinace radiantu: 1,8°
MeteorickĂ˝ roj: sporadickĂ˝
Elementy dráhy meteoroidu:
Vzdálenost v periheliu: 0,960 AU
Excentricita: 0,982
Sklon dráhy: 175,7°
Délka vzestupného uzlu: 74,3°
Argument perihelia: 341,4°
Střední anomálie: 0,0°
Epocha: 2020 DEC 06 06:24:18
orbit plot

NeinteraktivnĂ­ graf | InteraktivnĂ­ graf

position vs time
speed and acceleration