🇳🇴 🇬🇧 🇩🇪 🇨🇿 🇫🇮

Meteor Tromsøin yllä 2020-12-11 04:58:32 UTC

KML-tiedosto  |  Interaktiivinen kartta

Kartta näyttää meteorin suuntahavainnot. Vaaleammat viivat näyttävät suunnat havaintoasemilta meteorin ilmestyessä, ja tummemmat viivat näyttävät, missä se viimeksi nähtiin. Sininen nuoli näyttää meteorin näkyvän lennon.

static map
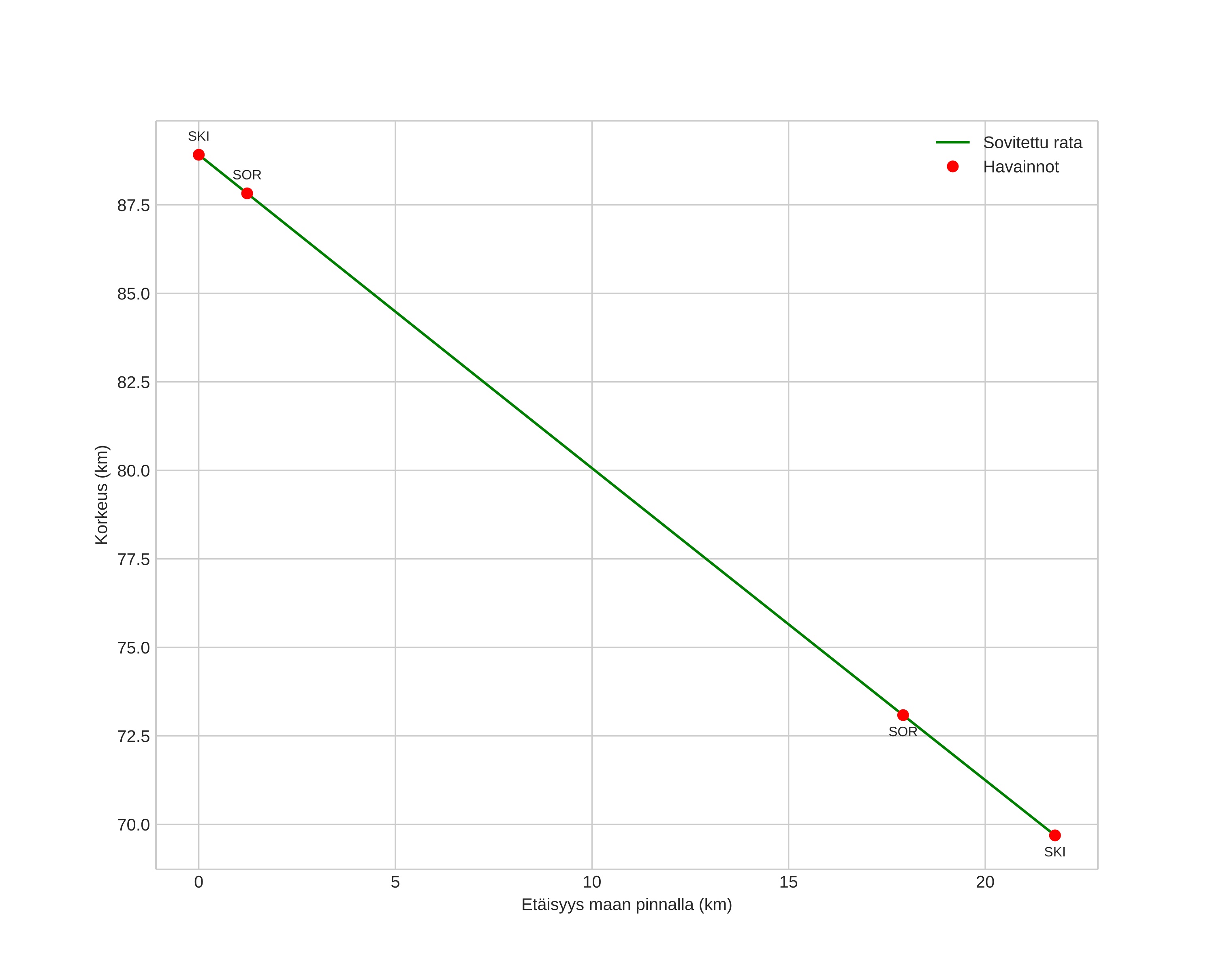
height profile
Meteorin ilmakehärata:
Alkukorkeus: 91,1 km
Loppukorkeus: 75,4 km
Alkupiste: 71,790N 17,720E
Loppupiste: 71,841N 18,211E
Suunta: 71,3°
Kallistuskulma: 41,1°
Tulonopeus: 37,5 km/s
Radiantin R,A,: 07:32 (113,1°)
Radiantin Dekl,: 32,1°
Meteoriparvi: Geminidit
Meteoroidin rataelementit:
Perihelietäisyys: 0,111 AU
Eksentrisyys: 0,917
Inklinaatio: 27,3°
Nousevan solmun pituus: 259,3°
Perihelin argumentti: 328,9°
Keskianomalia: 336,8°
Epookki: 2020 DEC 11 04:58:32
orbit plot

Ei-interaktiivinen kuvaaja | Interaktiivinen kuvaaja

position vs time
speed and acceleration