🇳🇴 🇬🇧 🇩🇪 🇨🇿 🇫🇮

Meteor, poloha: Sistranda 2020-12-11 05:53:11 UTC

Soubor KML  |  InteraktivnĂ­ mapa

Mapa zobrazuje dráhy meteoru. Světlejší čáry ukazují směry od pozorovacích stanic při objevení se meteoru a tmavší čáry, kde byl naposledy viděn. Modrá šipka značí viditelnou dráhu meteoru.

static map
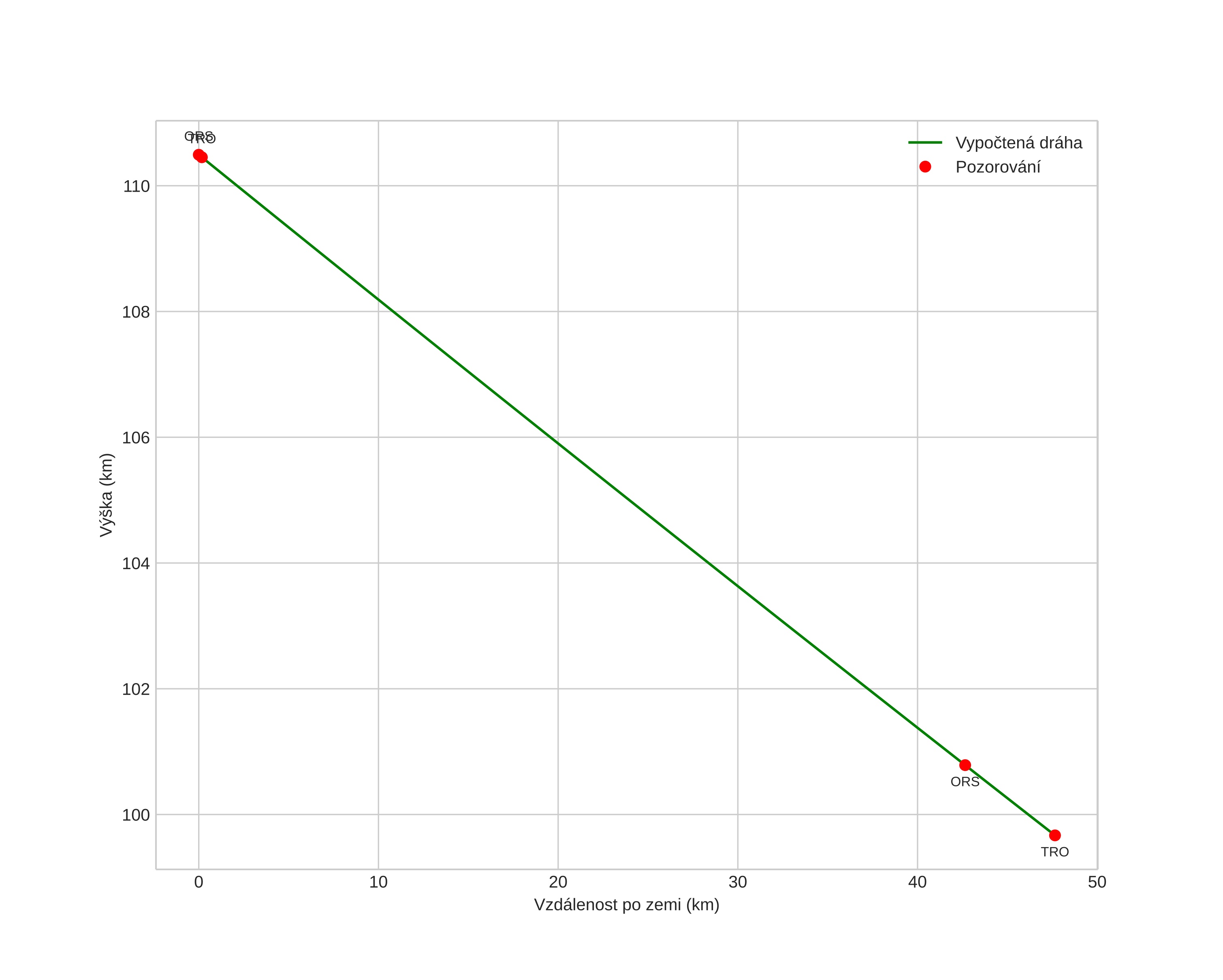
height profile
Atmosférická dráha meteoru:
Počáteční výška: 110,4 km
Konečná výška: 99,9 km
Počáteční poloha: 63,388N 8,822E
Konečná poloha: 63,818N 8,805E
Směr: 359,0°
Sklon: 12,4°
VstupnĂ­ rychlost: 68,6 km/s
Rektascenze radiantu: 11:52 (178,1°)
Deklinace radiantu: -14,7°
MeteorickĂ˝ roj: sporadickĂ˝
Elementy dráhy meteoroidu:
Vzdálenost v periheliu: 0,807 AU
Excentricita: 0,864
Sklon dráhy: 153,3°
Délka vzestupného uzlu: 79,4°
Argument perihelia: 307,6°
Střední anomálie: 2,2°
Epocha: 2020 DEC 11 05:53:11
orbit plot

NeinteraktivnĂ­ graf | InteraktivnĂ­ graf

position vs time
speed and acceleration