🇳🇴 🇬🇧 🇩🇪 🇨🇿 🇫🇮

Meteor, poloha: Sunndalsøra 2020-12-12 05:51:05 UTC

Soubor KML  |  InteraktivnĂ­ mapa

Mapa zobrazuje dráhy meteoru. Světlejší čáry ukazují směry od pozorovacích stanic při objevení se meteoru a tmavší čáry, kde byl naposledy viděn. Modrá šipka značí viditelnou dráhu meteoru.

static map
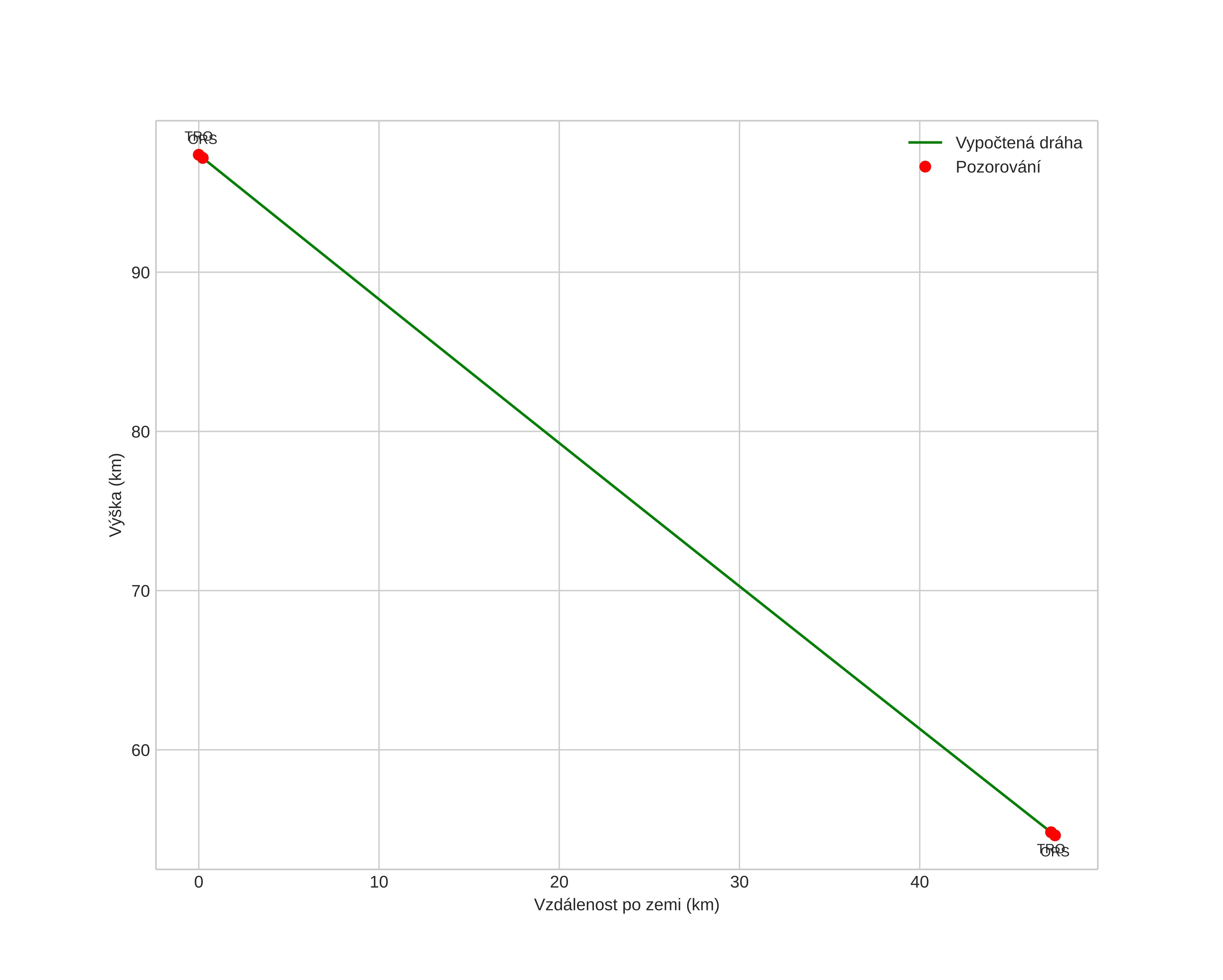
height profile
Atmosférická dráha meteoru:
Počáteční výška: 97,1 km
Konečná výška: 54,4 km
Počáteční poloha: 62,595N 7,750E
Konečná poloha: 62,637N 8,675E
Směr: 84,0°
Sklon: 41,9°
VstupnĂ­ rychlost: 34,8 km/s
Rektascenze radiantu: 07:30 (112,5°)
Deklinace radiantu: 32,5°
MeteorickĂ˝ roj: Geminidy
Elementy dráhy meteoroidu:
Vzdálenost v periheliu: 0,144 AU
Excentricita: 0,882
Sklon dráhy: 22,8°
Délka vzestupného uzlu: 260,4°
Argument perihelia: 325,2°
Střední anomálie: 332,0°
Epocha: 2020 DEC 12 05:51:05
orbit plot

NeinteraktivnĂ­ graf | InteraktivnĂ­ graf

position vs time
speed and acceleration