🇳🇴 🇬🇧 🇩🇪 🇨🇿 🇫🇮

Meteor, poloha: Lyngseidet 2020-12-12 06:36:35 UTC

Soubor KML  |  InteraktivnĂ­ mapa

Mapa zobrazuje dráhy meteoru. Světlejší čáry ukazují směry od pozorovacích stanic při objevení se meteoru a tmavší čáry, kde byl naposledy viděn. Modrá šipka značí viditelnou dráhu meteoru.

static map
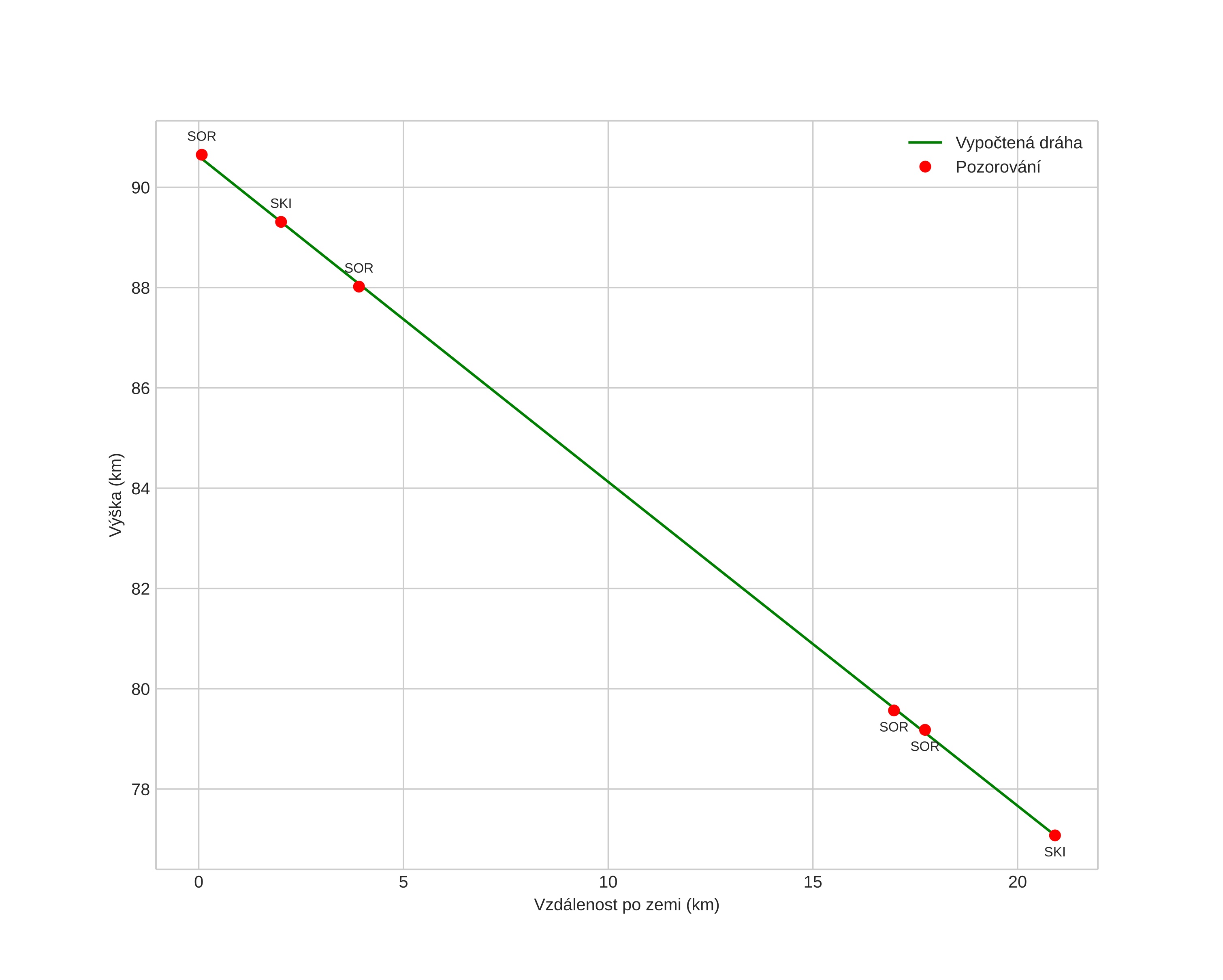
height profile
Atmosférická dráha meteoru:
Počáteční výška: 90,6 km
Konečná výška: 77,1 km
Počáteční poloha: 69,560N 19,816E
Konečná poloha: 69,524N 20,344E
Směr: 100,7°
Sklon: 32,8°
VstupnĂ­ rychlost: 33,9 km/s
Rektascenze radiantu: 07:28 (112,2°)
Deklinace radiantu: 32,5°
MeteorickĂ˝ roj: Geminidy
Elementy dráhy meteoroidu:
Vzdálenost v periheliu: 0,154 AU
Excentricita: 0,869
Sklon dráhy: 21,2°
Délka vzestupného uzlu: 260,4°
Argument perihelia: 324,5°
Střední anomálie: 329,8°
Epocha: 2020 DEC 12 06:36:35
orbit plot

NeinteraktivnĂ­ graf | InteraktivnĂ­ graf

position vs time
speed and acceleration