🇳🇴 🇬🇧 🇩🇪 🇨🇿 🇫🇮

Meteor, poloha: Ă…ndalsnes 2020-12-12 16:48:18 UTC

Soubor KML  |  InteraktivnĂ­ mapa

Mapa zobrazuje dráhy meteoru. Světlejší čáry ukazují směry od pozorovacích stanic při objevení se meteoru a tmavší čáry, kde byl naposledy viděn. Modrá šipka značí viditelnou dráhu meteoru.

static map
height profile
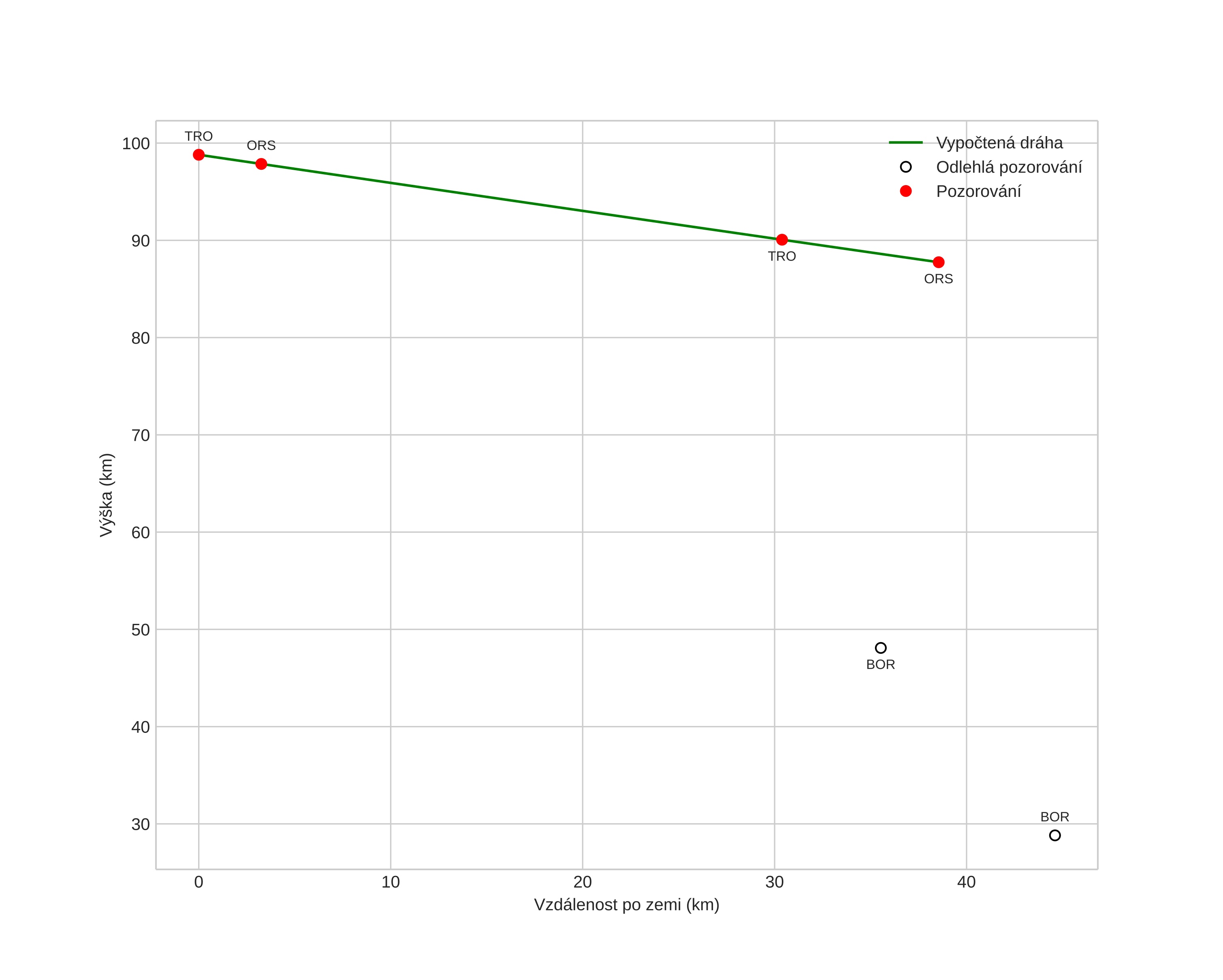
Atmosférická dráha meteoru:
Počáteční výška: 100,6 km
Konečná výška: 87,8 km
Počáteční poloha: 62,620N 8,319E
Konečná poloha: 62,311N 7,744E
Směr: 221,0°
Sklon: 15,8°
VstupnĂ­ rychlost: 37,7 km/s
Rektascenze radiantu: 07:29 (112,4°)
Deklinace radiantu: 33,5°
MeteorickĂ˝ roj: Geminidy
Elementy dráhy meteoroidu:
Vzdálenost v periheliu: 0,136 AU
Excentricita: 0,910
Sklon dráhy: 27,7°
Délka vzestupného uzlu: 260,8°
Argument perihelia: 324,0°
Střední anomálie: 340,6°
Epocha: 2020 DEC 12 16:48:18
orbit plot

NeinteraktivnĂ­ graf | InteraktivnĂ­ graf

position vs time
speed and acceleration