🇳🇴 🇬🇧 🇩🇪 🇨🇿 🇫🇮

Meteor, poloha: BrattvĂĄg 2020-12-12 17:37:05 UTC

Soubor KML  |  InteraktivnĂ­ mapa

Mapa zobrazuje dráhy meteoru. Světlejší čáry ukazují směry od pozorovacích stanic při objevení se meteoru a tmavší čáry, kde byl naposledy viděn. Modrá šipka značí viditelnou dráhu meteoru.

static map
height profile
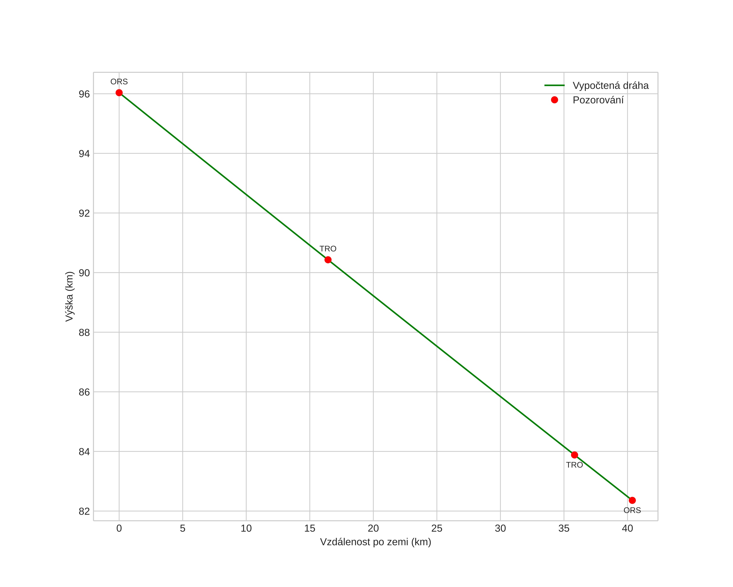
Atmosférická dráha meteoru:
Počáteční výška: 95,2 km
Konečná výška: 82,6 km
Počáteční poloha: 63,601N 6,782E
Konečná poloha: 63,383N 6,160E
Směr: 232,2°
Sklon: 17,8°
VstupnĂ­ rychlost: 34,1 km/s
Rektascenze radiantu: 07:24 (111,0°)
Deklinace radiantu: 30,3°
MeteorickĂ˝ roj: Geminidy
Elementy dráhy meteoroidu:
Vzdálenost v periheliu: 0,155 AU
Excentricita: 0,872
Sklon dráhy: 16,3°
Délka vzestupného uzlu: 260,9°
Argument perihelia: 323,9°
Střední anomálie: 331,4°
Epocha: 2020 DEC 12 17:37:05
orbit plot

NeinteraktivnĂ­ graf | InteraktivnĂ­ graf

position vs time
speed and acceleration