🇳🇴 🇬🇧 🇩🇪 🇨🇿 🇫🇮

Meteor, poloha: FosnavĂĄg 2020-12-12 21:02:46 UTC

Soubor KML  |  InteraktivnĂ­ mapa

Mapa zobrazuje dráhy meteoru. Světlejší čáry ukazují směry od pozorovacích stanic při objevení se meteoru a tmavší čáry, kde byl naposledy viděn. Modrá šipka značí viditelnou dráhu meteoru.

static map
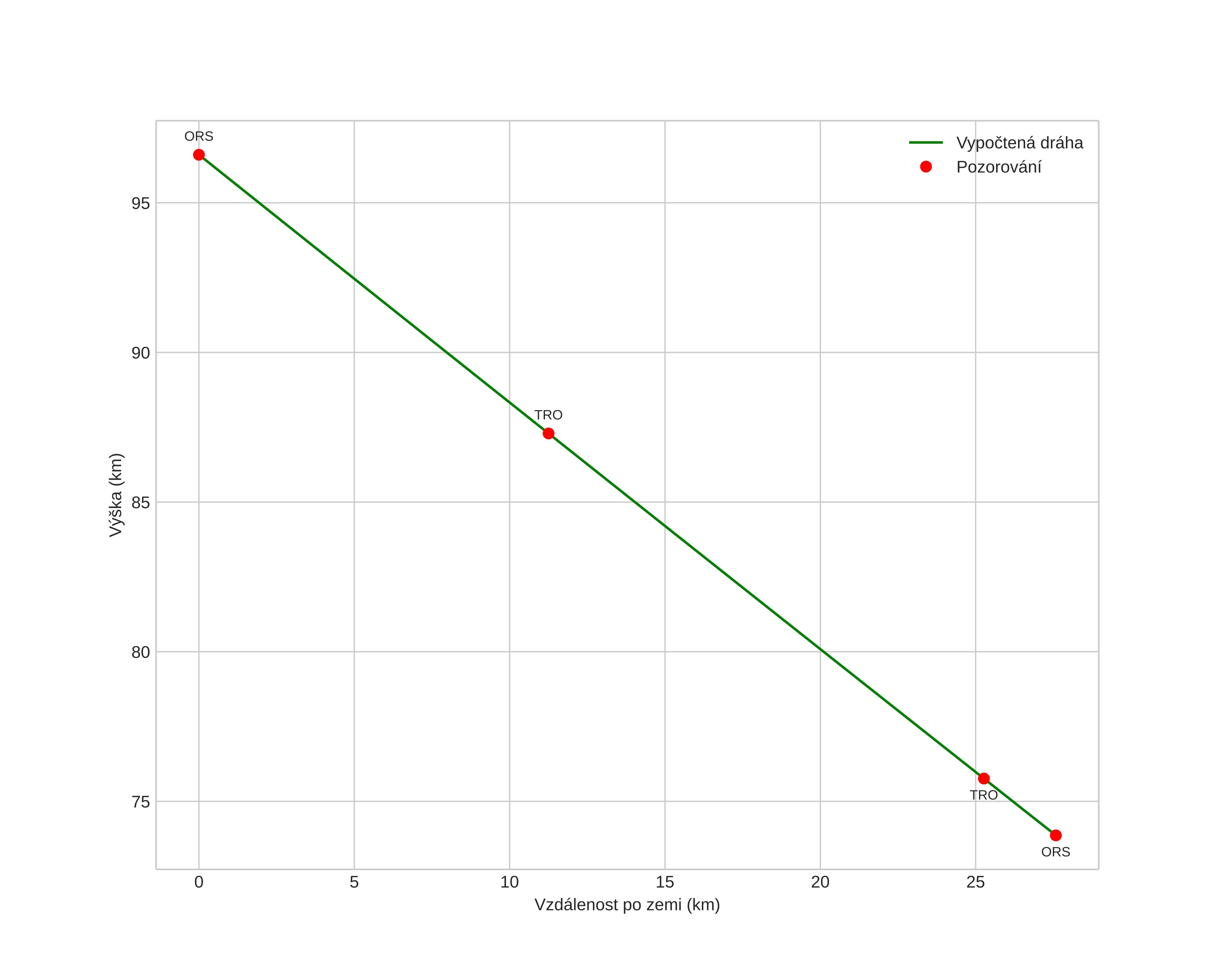
height profile
Atmosférická dráha meteoru:
Počáteční výška: 96,8 km
Konečná výška: 74,0 km
Počáteční poloha: 62,683N 6,271E
Konečná poloha: 62,689N 5,731E
Směr: 271,4°
Sklon: 39,6°
VstupnĂ­ rychlost: 36,1 km/s
Rektascenze radiantu: 07:29 (112,4°)
Deklinace radiantu: 32,9°
MeteorickĂ˝ roj: Geminidy
Elementy dráhy meteoroidu:
Vzdálenost v periheliu: 0,146 AU
Excentricita: 0,891
Sklon dráhy: 24,1°
Délka vzestupného uzlu: 261,0°
Argument perihelia: 323,8°
Střední anomálie: 336,2°
Epocha: 2020 DEC 12 21:02:46
orbit plot

NeinteraktivnĂ­ graf | InteraktivnĂ­ graf

position vs time
speed and acceleration