🇳🇴 🇬🇧 🇩🇪 🇨🇿 🇫🇮

Meteor, poloha: Måløy 2020-12-12 22:07:38 UTC

Soubor KML  |  InteraktivnĂ­ mapa

Mapa zobrazuje dráhy meteoru. Světlejší čáry ukazují směry od pozorovacích stanic při objevení se meteoru a tmavší čáry, kde byl naposledy viděn. Modrá šipka značí viditelnou dráhu meteoru.

static map
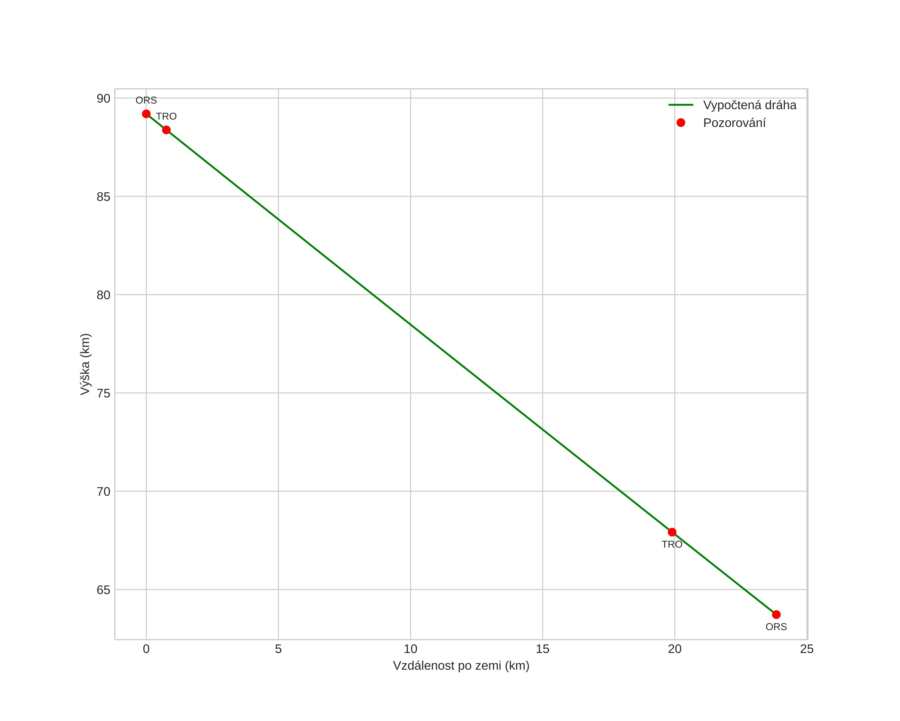
height profile
Atmosférická dráha meteoru:
Počáteční výška: 91,0 km
Konečná výška: 63,8 km
Počáteční poloha: 62,383N 4,775E
Konečná poloha: 62,441N 4,293E
Směr: 284,8°
Sklon: 46,7°
VstupnĂ­ rychlost: 32,1 km/s
Rektascenze radiantu: 07:29 (112,3°)
Deklinace radiantu: 33,2°
MeteorickĂ˝ roj: Geminidy
Elementy dráhy meteoroidu:
Vzdálenost v periheliu: 0,184 AU
Excentricita: 0,832
Sklon dráhy: 19,3°
Délka vzestupného uzlu: 261,1°
Argument perihelia: 322,3°
Střední anomálie: 324,3°
Epocha: 2020 DEC 12 22:07:38
orbit plot

NeinteraktivnĂ­ graf | InteraktivnĂ­ graf

position vs time
speed and acceleration