🇳🇴 🇬🇧 🇩🇪 🇨🇿 🇫🇮

Meteor, poloha: Nordstranda 2020-12-12 22:14:10 UTC

Soubor KML  |  InteraktivnĂ­ mapa

Mapa zobrazuje dráhy meteoru. Světlejší čáry ukazují směry od pozorovacích stanic při objevení se meteoru a tmavší čáry, kde byl naposledy viděn. Modrá šipka značí viditelnou dráhu meteoru.

static map
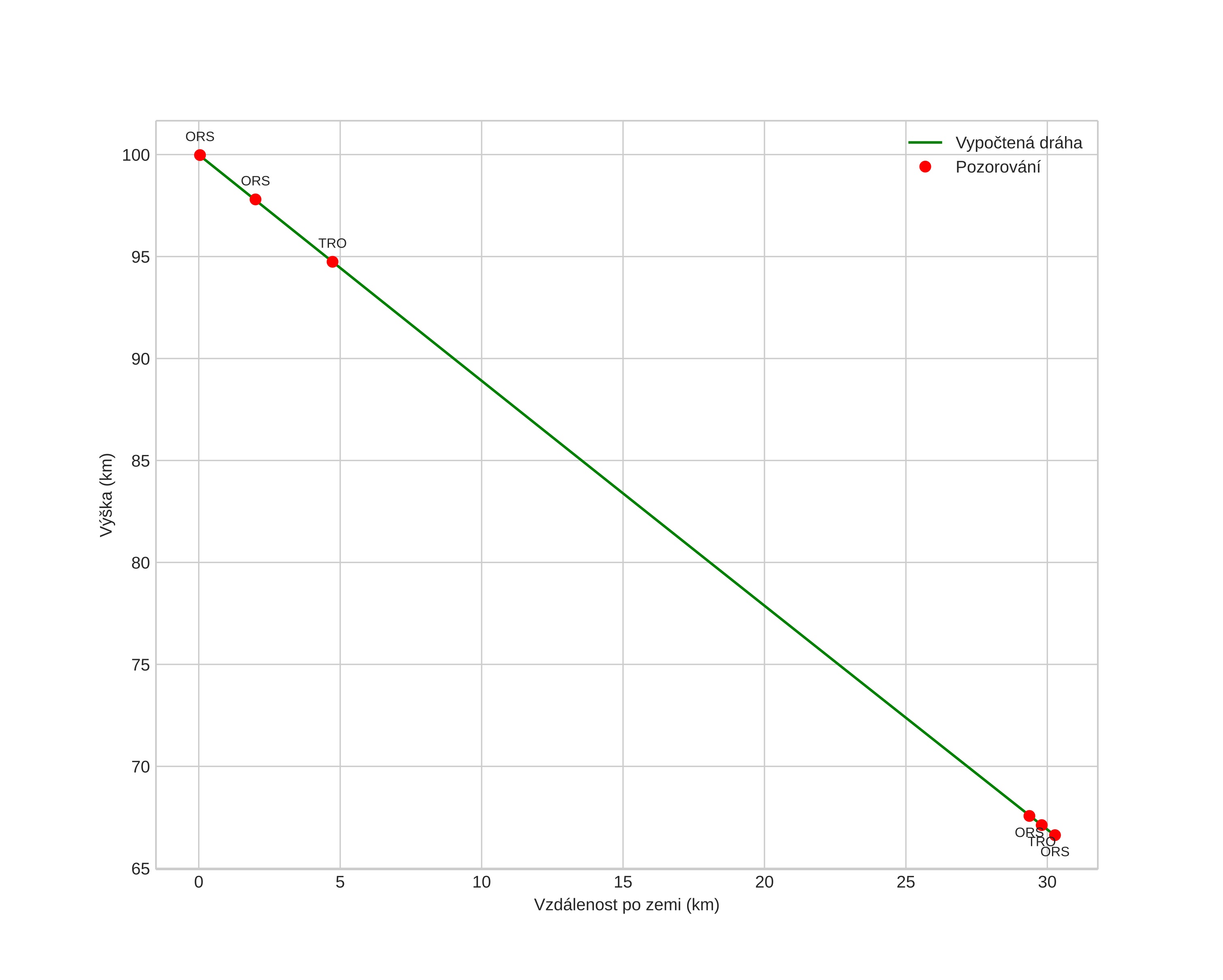
height profile
Atmosférická dráha meteoru:
Počáteční výška: 98,8 km
Konečná výška: 66,5 km
Počáteční poloha: 62,446N 6,636E
Konečná poloha: 62,532N 6,100E
Směr: 289,3°
Sklon: 47,9°
VstupnĂ­ rychlost: 36,2 km/s
Rektascenze radiantu: 07:26 (111,7°)
Deklinace radiantu: 32,9°
MeteorickĂ˝ roj: Geminidy
Elementy dráhy meteoroidu:
Vzdálenost v periheliu: 0,151 AU
Excentricita: 0,892
Sklon dráhy: 23,6°
Délka vzestupného uzlu: 261,1°
Argument perihelia: 322,8°
Střední anomálie: 337,5°
Epocha: 2020 DEC 12 22:14:10
orbit plot

NeinteraktivnĂ­ graf | InteraktivnĂ­ graf

position vs time
speed and acceleration