🇳🇴 🇬🇧 🇩🇪 🇨🇿 🇫🇮

Meteor, poloha: Måløy 2020-12-13 00:00:01 UTC

Soubor KML  |  InteraktivnĂ­ mapa

Mapa zobrazuje dráhy meteoru. Světlejší čáry ukazují směry od pozorovacích stanic při objevení se meteoru a tmavší čáry, kde byl naposledy viděn. Modrá šipka značí viditelnou dráhu meteoru.

static map
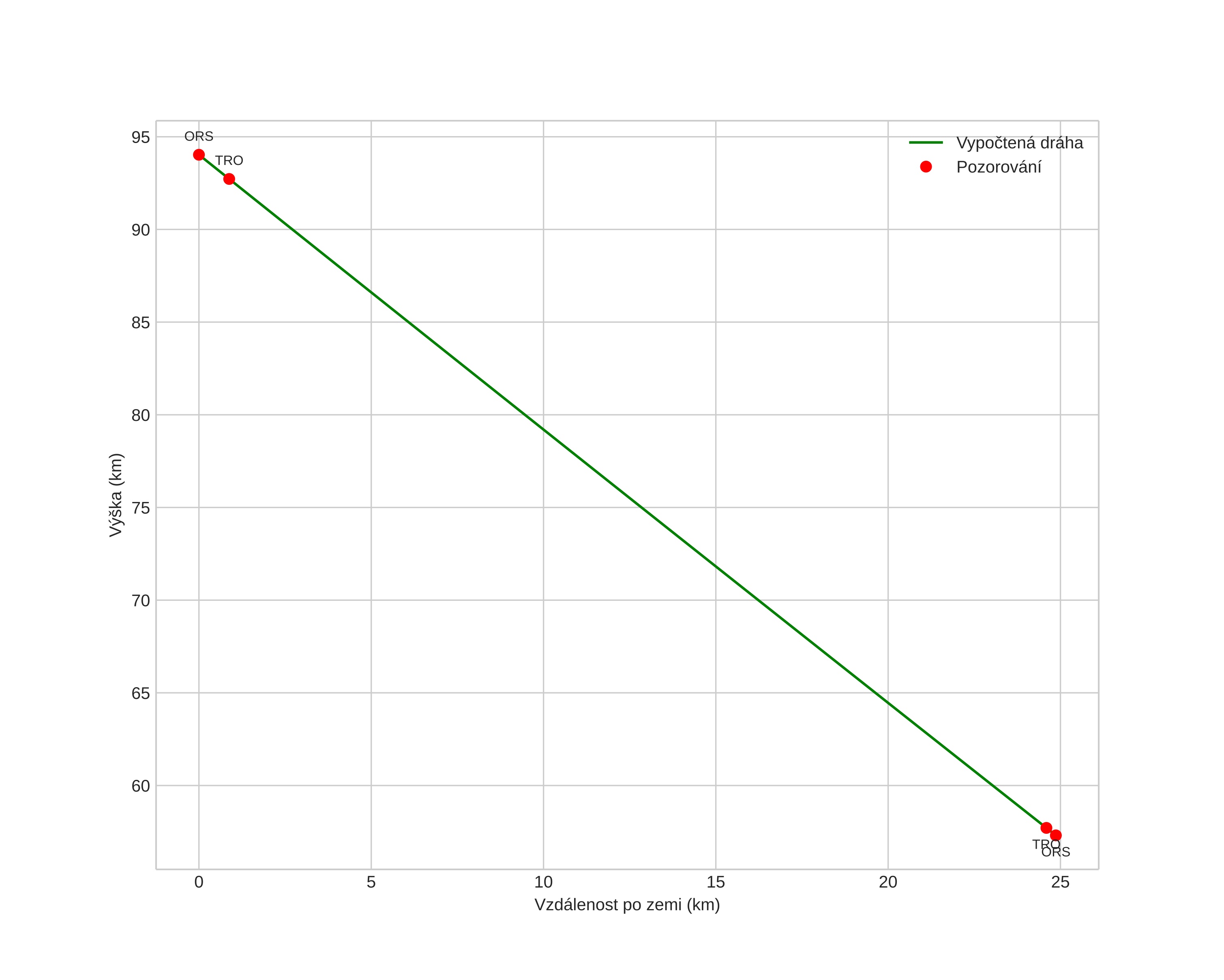
height profile
Atmosférická dráha meteoru:
Počáteční výška: 89,0 km
Konečná výška: 57,5 km
Počáteční poloha: 62,491N 4,087E
Konečná poloha: 62,624N 3,803E
Směr: 315,6°
Sklon: 56,6°
VstupnĂ­ rychlost: 36,1 km/s
Rektascenze radiantu: 07:33 (113,4°)
Deklinace radiantu: 33,3°
MeteorickĂ˝ roj: Geminidy
Elementy dráhy meteoroidu:
Vzdálenost v periheliu: 0,142 AU
Excentricita: 0,892
Sklon dráhy: 25,7°
Délka vzestupného uzlu: 261,1°
Argument perihelia: 324,6°
Střední anomálie: 335,4°
Epocha: 2020 DEC 13 00:00:01
orbit plot

NeinteraktivnĂ­ graf | InteraktivnĂ­ graf

position vs time
speed and acceleration