🇳🇴 🇬🇧 🇩🇪 🇨🇿 🇫🇮

Meteor, poloha: Melhus 2020-12-13 00:49:44 UTC

Soubor KML  |  InteraktivnĂ­ mapa

Mapa zobrazuje dráhy meteoru. Světlejší čáry ukazují směry od pozorovacích stanic při objevení se meteoru a tmavší čáry, kde byl naposledy viděn. Modrá šipka značí viditelnou dráhu meteoru.

static map
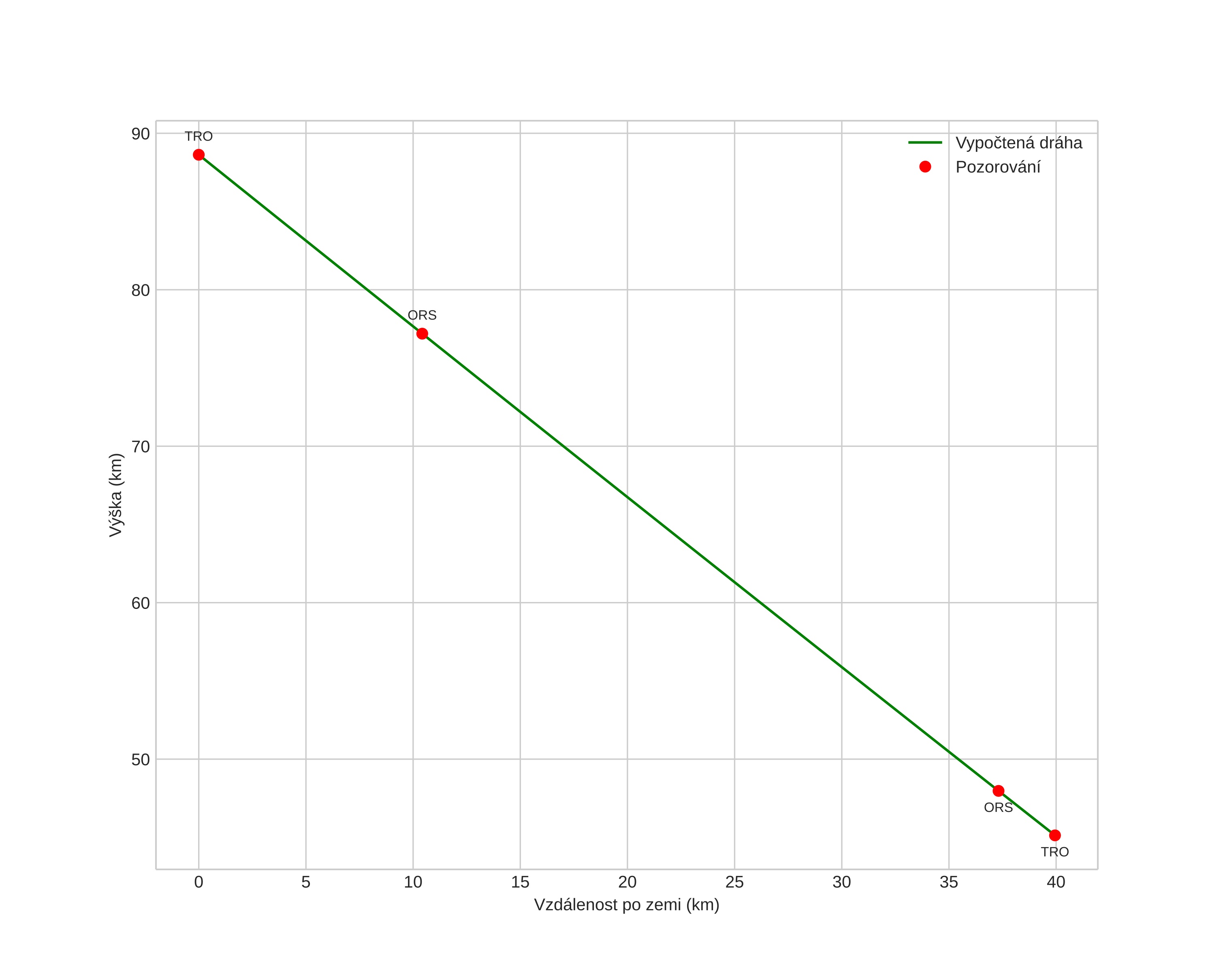
height profile
Atmosférická dráha meteoru:
Počáteční výška: 88,7 km
Konečná výška: 45,0 km
Počáteční poloha: 62,981N 9,801E
Konečná poloha: 63,276N 10,255E
Směr: 34,6°
Sklon: 47,5°
VstupnĂ­ rychlost: 23,6 km/s
Rektascenze radiantu: 05:11 (77,9°)
Deklinace radiantu: 21,0°
MeteorickĂ˝ roj: sporadickĂ˝
Elementy dráhy meteoroidu:
Vzdálenost v periheliu: 0,613 AU
Excentricita: 0,732
Sklon dráhy: 1,3°
Délka vzestupného uzlu: 81,3°
Argument perihelia: 83,8°
Střední anomálie: 347,4°
Epocha: 2020 DEC 13 00:49:44
orbit plot

NeinteraktivnĂ­ graf | InteraktivnĂ­ graf

position vs time
speed and acceleration