🇳🇴 🇬🇧 🇩🇪 🇨🇿 🇫🇮

Meteor, poloha: FosnavĂĄg 2020-12-13 01:12:14 UTC

Soubor KML  |  InteraktivnĂ­ mapa

Mapa zobrazuje dráhy meteoru. Světlejší čáry ukazují směry od pozorovacích stanic při objevení se meteoru a tmavší čáry, kde byl naposledy viděn. Modrá šipka značí viditelnou dráhu meteoru.

static map
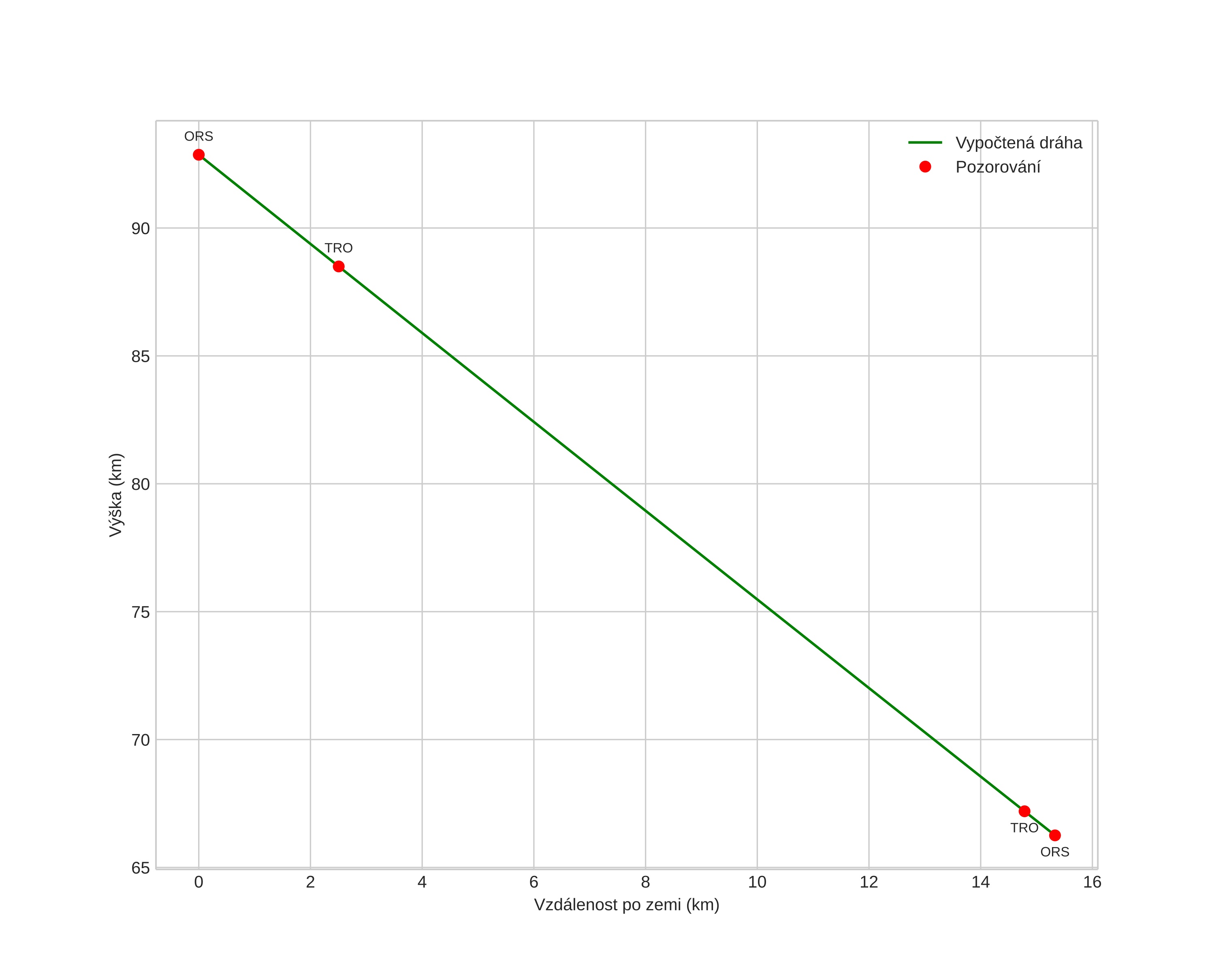
height profile
Atmosférická dráha meteoru:
Počáteční výška: 92,1 km
Konečná výška: 65,8 km
Počáteční poloha: 62,464N 5,225E
Konečná poloha: 62,595N 5,141E
Směr: 343,5°
Sklon: 60,1°
VstupnĂ­ rychlost: 39,5 km/s
Rektascenze radiantu: 07:38 (114,5°)
Deklinace radiantu: 32,5°
MeteorickĂ˝ roj: Geminidy
Elementy dráhy meteoroidu:
Vzdálenost v periheliu: 0,108 AU
Excentricita: 0,933
Sklon dráhy: 31,1°
Délka vzestupného uzlu: 261,2°
Argument perihelia: 327,6°
Střední anomálie: 343,1°
Epocha: 2020 DEC 13 01:12:14
orbit plot

NeinteraktivnĂ­ graf | InteraktivnĂ­ graf

position vs time
speed and acceleration