🇳🇴 🇬🇧 🇩🇪 🇨🇿 🇫🇮

Meteor Berkåkin yllä 2020-12-13 01:26:02 UTC

KML-tiedosto  |  Interaktiivinen kartta

Kartta näyttää meteorin suuntahavainnot. Vaaleammat viivat näyttävät suunnat havaintoasemilta meteorin ilmestyessä, ja tummemmat viivat näyttävät, missä se viimeksi nähtiin. Sininen nuoli näyttää meteorin näkyvän lennon.

static map
height profile
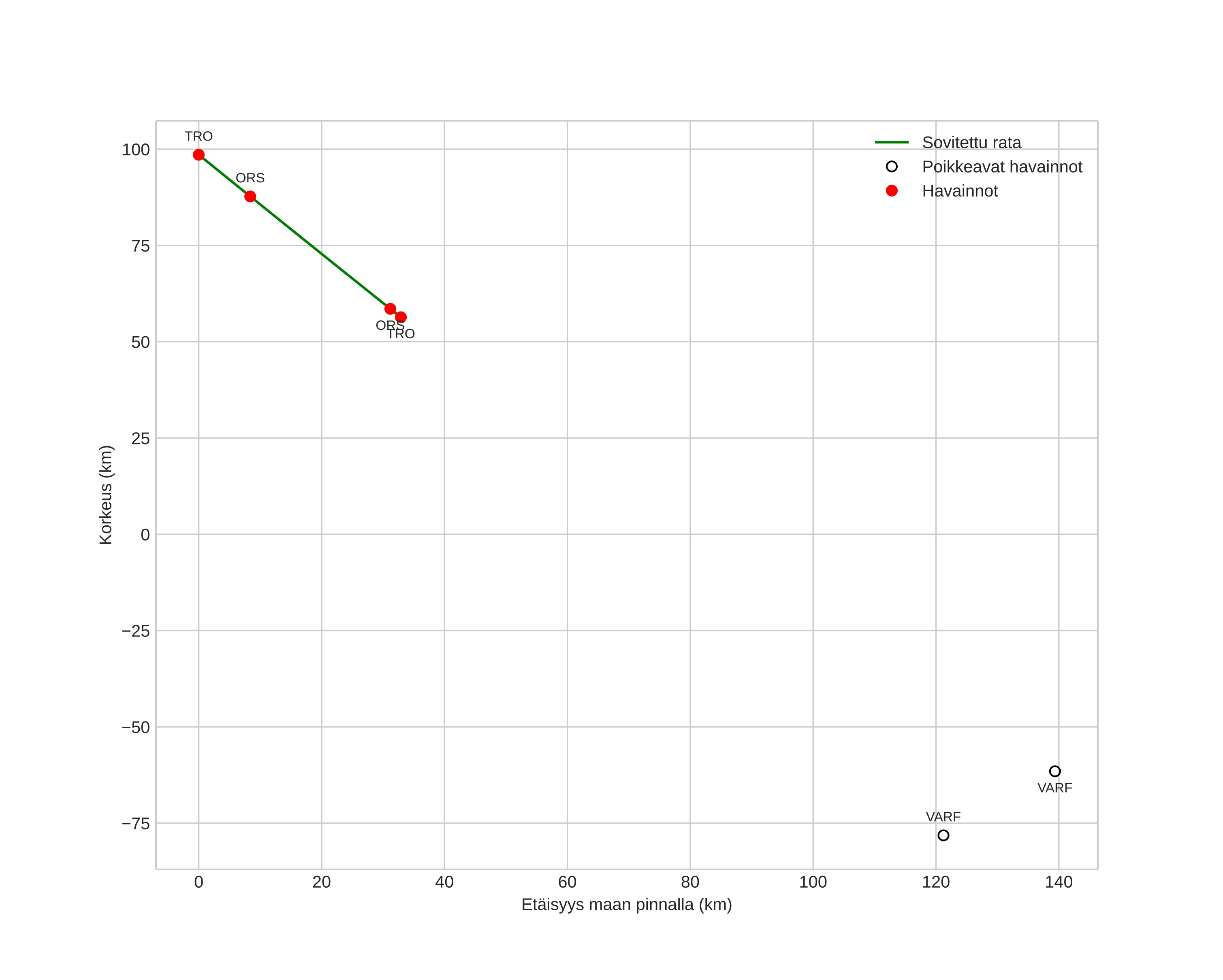
Meteorin ilmakehärata:
Alkukorkeus: 99,3 km
Loppukorkeus: 56,8 km
Alkupiste: 62,317N 9,658E
Loppupiste: 62,556N 10,039E
Suunta: 36,3°
Kallistuskulma: 52,2°
Tulonopeus: 28,8 km/s
Radiantin R,A,: 05:50 (87,7°)
Radiantin Dekl,: 26,3°
Meteoriparvi: Sporadinen
Meteoroidin rataelementit:
Perihelietäisyys: 0,442 AU
Eksentrisyys: 0,823
Inklinaatio: 2,8°
Nousevan solmun pituus: 261,2°
Perihelin argumentti: 282,8°
Keskianomalia: 349,3°
Epookki: 2020 DEC 13 01:26:02
orbit plot

Ei-interaktiivinen kuvaaja | Interaktiivinen kuvaaja

position vs time
speed and acceleration