🇳🇴 🇬🇧 🇩🇪 🇨🇿 🇫🇮

Meteor, poloha: Steinsdalen 2020-12-13 01:32:04 UTC

Soubor KML  |  InteraktivnĂ­ mapa

Mapa zobrazuje dráhy meteoru. Světlejší čáry ukazují směry od pozorovacích stanic při objevení se meteoru a tmavší čáry, kde byl naposledy viděn. Modrá šipka značí viditelnou dráhu meteoru.

static map
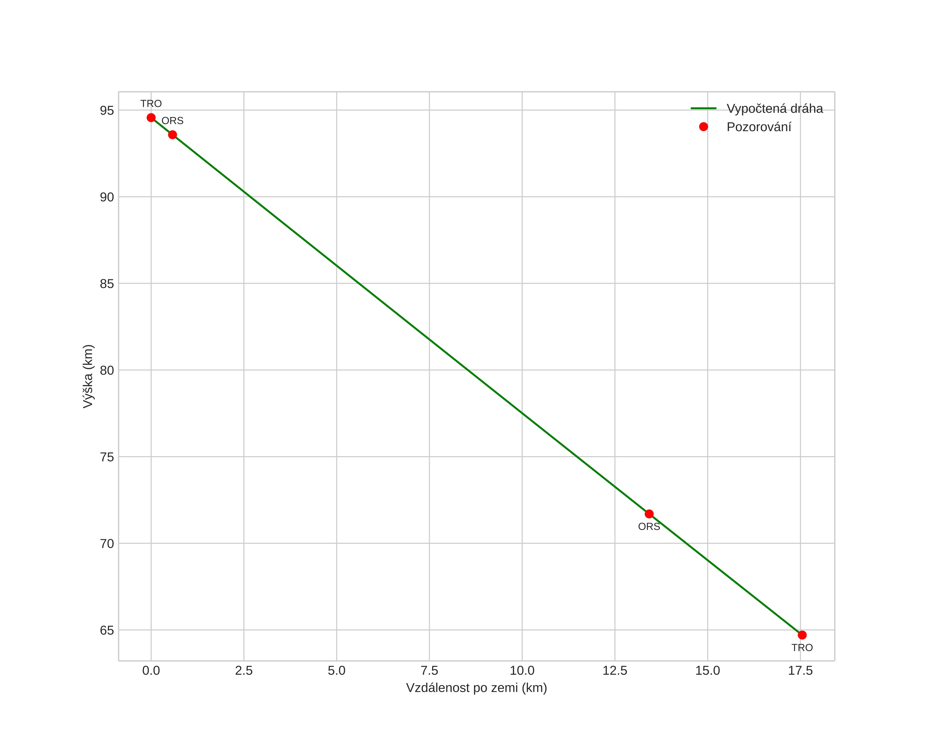
height profile
Atmosférická dráha meteoru:
Počáteční výška: 94,5 km
Konečná výška: 64,9 km
Počáteční poloha: 64,785N 9,465E
Konečná poloha: 64,946N 9,472E
Směr: 1,2°
Sklon: 58,8°
VstupnĂ­ rychlost: 35,7 km/s
Rektascenze radiantu: 07:32 (113,2°)
Deklinace radiantu: 32,7°
MeteorickĂ˝ roj: Geminidy
Elementy dráhy meteoroidu:
Vzdálenost v periheliu: 0,143 AU
Excentricita: 0,890
Sklon dráhy: 24,0°
Délka vzestupného uzlu: 261,2°
Argument perihelia: 324,7°
Střední anomálie: 334,7°
Epocha: 2020 DEC 13 01:32:04
orbit plot

NeinteraktivnĂ­ graf | InteraktivnĂ­ graf

position vs time
speed and acceleration