🇳🇴 🇬🇧 🇩🇪 🇨🇿 🇫🇮

Meteor Mockfjärdin yllä 2020-12-13 01:40:38 UTC

KML-tiedosto  |  Interaktiivinen kartta

Kartta näyttää meteorin suuntahavainnot. Vaaleammat viivat näyttävät suunnat havaintoasemilta meteorin ilmestyessä, ja tummemmat viivat näyttävät, missä se viimeksi nähtiin. Sininen nuoli näyttää meteorin näkyvän lennon.

static map
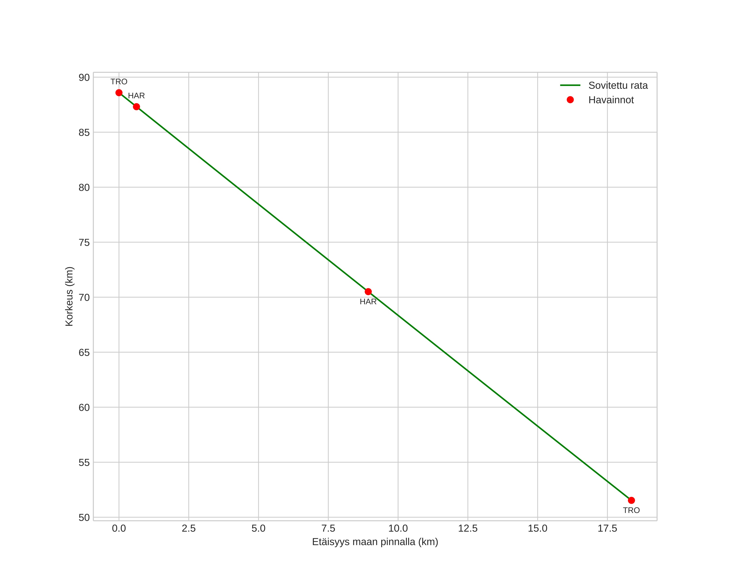
height profile
Meteorin ilmakehärata:
Alkukorkeus: 95,0 km
Loppukorkeus: 51,3 km
Alkupiste: 60,280N 14,583E
Loppupiste: 60,473N 14,679E
Suunta: 13,8°
Kallistuskulma: 63,1°
Tulonopeus: 35,1 km/s
Radiantin R,A,: 07:34 (113,5°)
Radiantin Dekl,: 33,0°
Meteoriparvi: Geminidit
Meteoroidin rataelementit:
Perihelietäisyys: 0,147 AU
Eksentrisyys: 0,881
Inklinaatio: 23,9°
Nousevan solmun pituus: 261,2°
Perihelin argumentti: 324,7°
Keskianomalia: 332,5°
Epookki: 2020 DEC 13 01:40:38
orbit plot

Ei-interaktiivinen kuvaaja | Interaktiivinen kuvaaja

position vs time
speed and acceleration