🇳🇴 🇬🇧 🇩🇪 🇨🇿 🇫🇮

Meteor, poloha: Ă…ndalsnes 2020-12-14 04:01:57 UTC

Soubor KML  |  InteraktivnĂ­ mapa

Mapa zobrazuje dráhy meteoru. Světlejší čáry ukazují směry od pozorovacích stanic při objevení se meteoru a tmavší čáry, kde byl naposledy viděn. Modrá šipka značí viditelnou dráhu meteoru.

static map
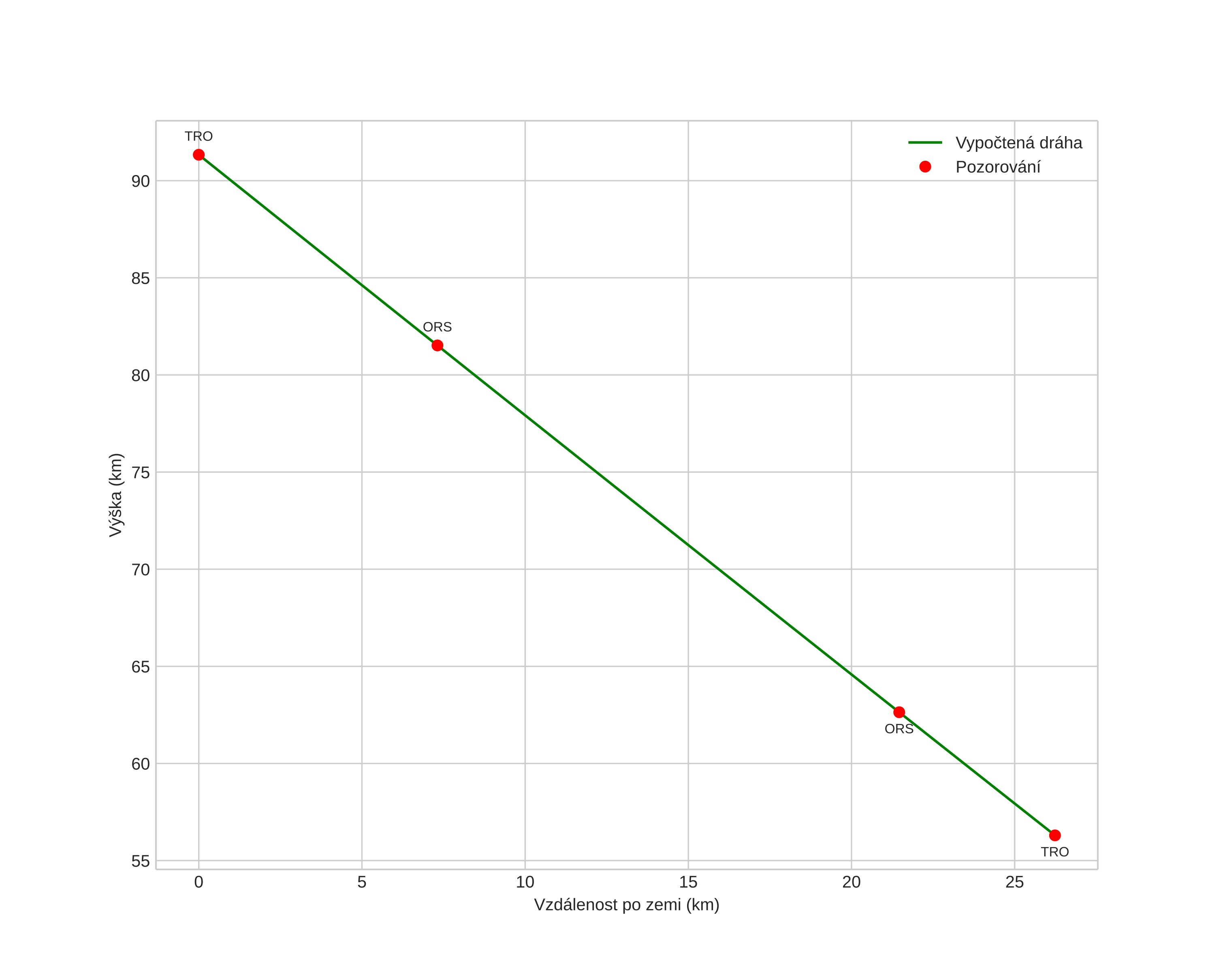
height profile
Atmosférická dráha meteoru:
Počáteční výška: 93,2 km
Konečná výška: 58,3 km
Počáteční poloha: 61,915N 7,136E
Konečná poloha: 62,050N 7,544E
Směr: 54,8°
Sklon: 53,3°
VstupnĂ­ rychlost: 35,7 km/s
Rektascenze radiantu: 07:36 (114,1°)
Deklinace radiantu: 32,0°
MeteorickĂ˝ roj: Geminidy
Elementy dráhy meteoroidu:
Vzdálenost v periheliu: 0,141 AU
Excentricita: 0,893
Sklon dráhy: 22,9°
Délka vzestupného uzlu: 262,3°
Argument perihelia: 324,8°
Střední anomálie: 335,4°
Epocha: 2020 DEC 14 04:01:57
orbit plot

NeinteraktivnĂ­ graf | InteraktivnĂ­ graf

position vs time
speed and acceleration