🇳🇴 🇬🇧 🇩🇪 🇨🇿 🇫🇮

Meteor, poloha: Sunndalsøra 2020-12-14 06:01:36 UTC

Soubor KML  |  InteraktivnĂ­ mapa

Mapa zobrazuje dráhy meteoru. Světlejší čáry ukazují směry od pozorovacích stanic při objevení se meteoru a tmavší čáry, kde byl naposledy viděn. Modrá šipka značí viditelnou dráhu meteoru.

static map
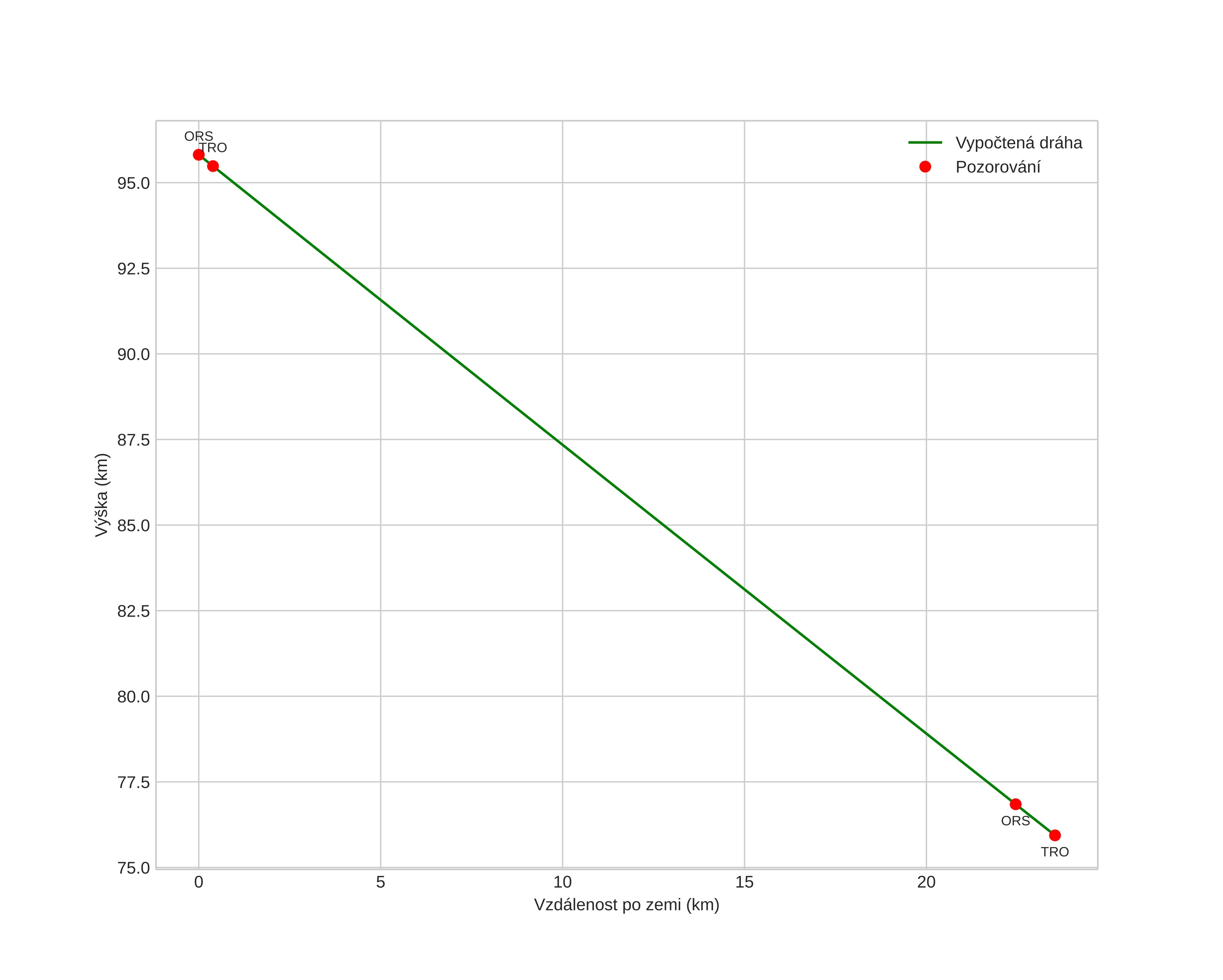
height profile
Atmosférická dráha meteoru:
Počáteční výška: 95,6 km
Konečná výška: 75,9 km
Počáteční poloha: 62,413N 8,187E
Konečná poloha: 62,421N 8,636E
Směr: 87,7°
Sklon: 40,4°
VstupnĂ­ rychlost: 35,9 km/s
Rektascenze radiantu: 07:35 (113,9°)
Deklinace radiantu: 32,8°
MeteorickĂ˝ roj: Geminidy
Elementy dráhy meteoroidu:
Vzdálenost v periheliu: 0,147 AU
Excentricita: 0,892
Sklon dráhy: 24,3°
Délka vzestupného uzlu: 262,4°
Argument perihelia: 323,6°
Střední anomálie: 336,5°
Epocha: 2020 DEC 14 06:01:36
orbit plot

NeinteraktivnĂ­ graf | InteraktivnĂ­ graf

position vs time
speed and acceleration