🇳🇴 🇬🇧 🇩🇪 🇨🇿 🇫🇮

Meteor, poloha: Oppdal 2020-12-14 06:20:06 UTC

Soubor KML  |  InteraktivnĂ­ mapa

Mapa zobrazuje dráhy meteoru. Světlejší čáry ukazují směry od pozorovacích stanic při objevení se meteoru a tmavší čáry, kde byl naposledy viděn. Modrá šipka značí viditelnou dráhu meteoru.

static map
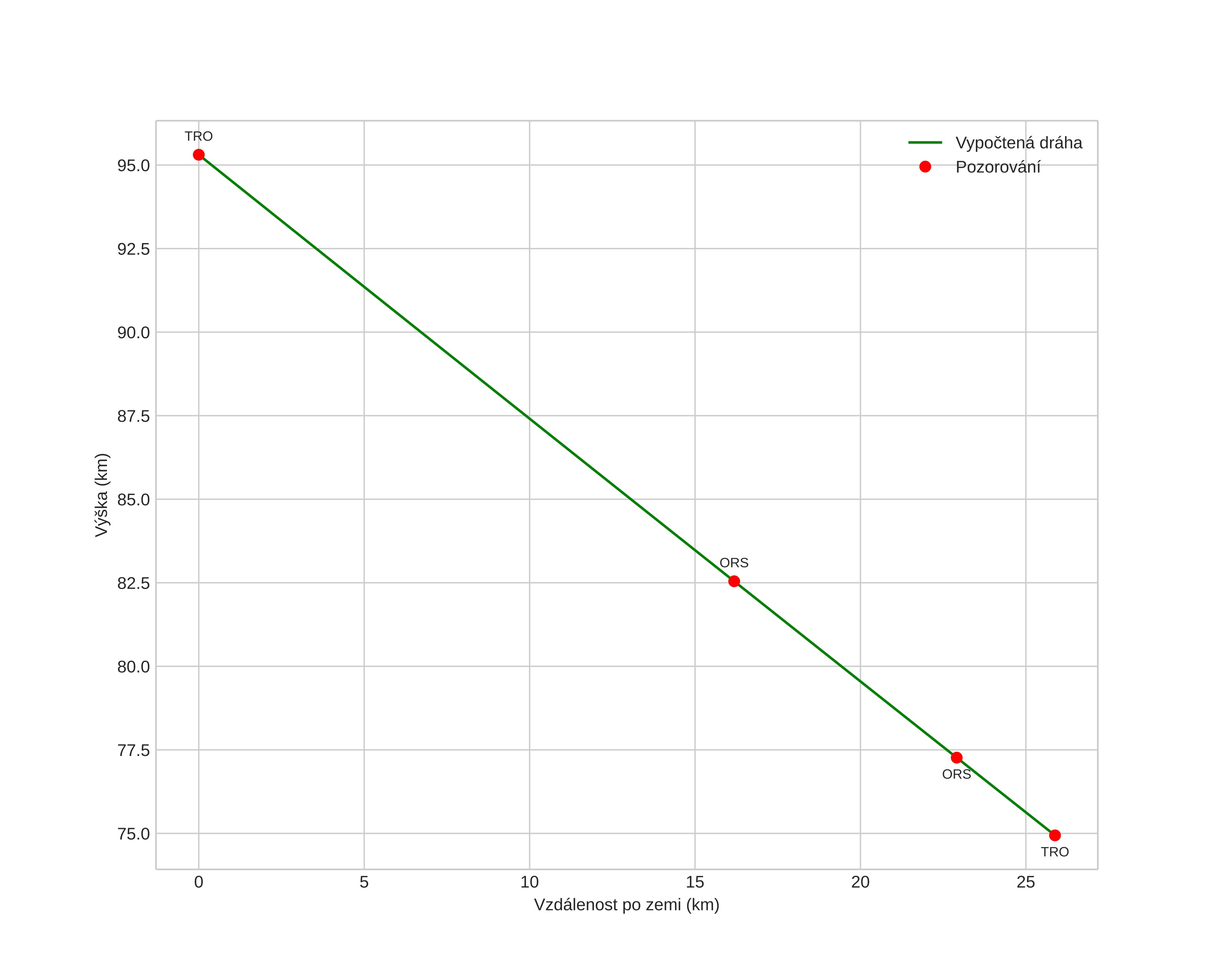
height profile
Atmosférická dráha meteoru:
Počáteční výška: 96,2 km
Konečná výška: 75,1 km
Počáteční poloha: 62,611N 8,785E
Konečná poloha: 62,607N 9,313E
Směr: 90,9°
Sklon: 38,0°
VstupnĂ­ rychlost: 36,2 km/s
Rektascenze radiantu: 07:39 (114,9°)
Deklinace radiantu: 32,2°
MeteorickĂ˝ roj: Geminidy
Elementy dráhy meteoroidu:
Vzdálenost v periheliu: 0,134 AU
Excentricita: 0,899
Sklon dráhy: 24,7°
Délka vzestupného uzlu: 262,4°
Argument perihelia: 325,7°
Střední anomálie: 335,9°
Epocha: 2020 DEC 14 06:20:06
orbit plot

NeinteraktivnĂ­ graf | InteraktivnĂ­ graf

position vs time
speed and acceleration