🇳🇴 🇬🇧 🇩🇪 🇨🇿 🇫🇮

Meteor, poloha: Hjelset 2020-12-14 06:48:55 UTC

Soubor KML  |  InteraktivnĂ­ mapa

Mapa zobrazuje dráhy meteoru. Světlejší čáry ukazují směry od pozorovacích stanic při objevení se meteoru a tmavší čáry, kde byl naposledy viděn. Modrá šipka značí viditelnou dráhu meteoru.

static map
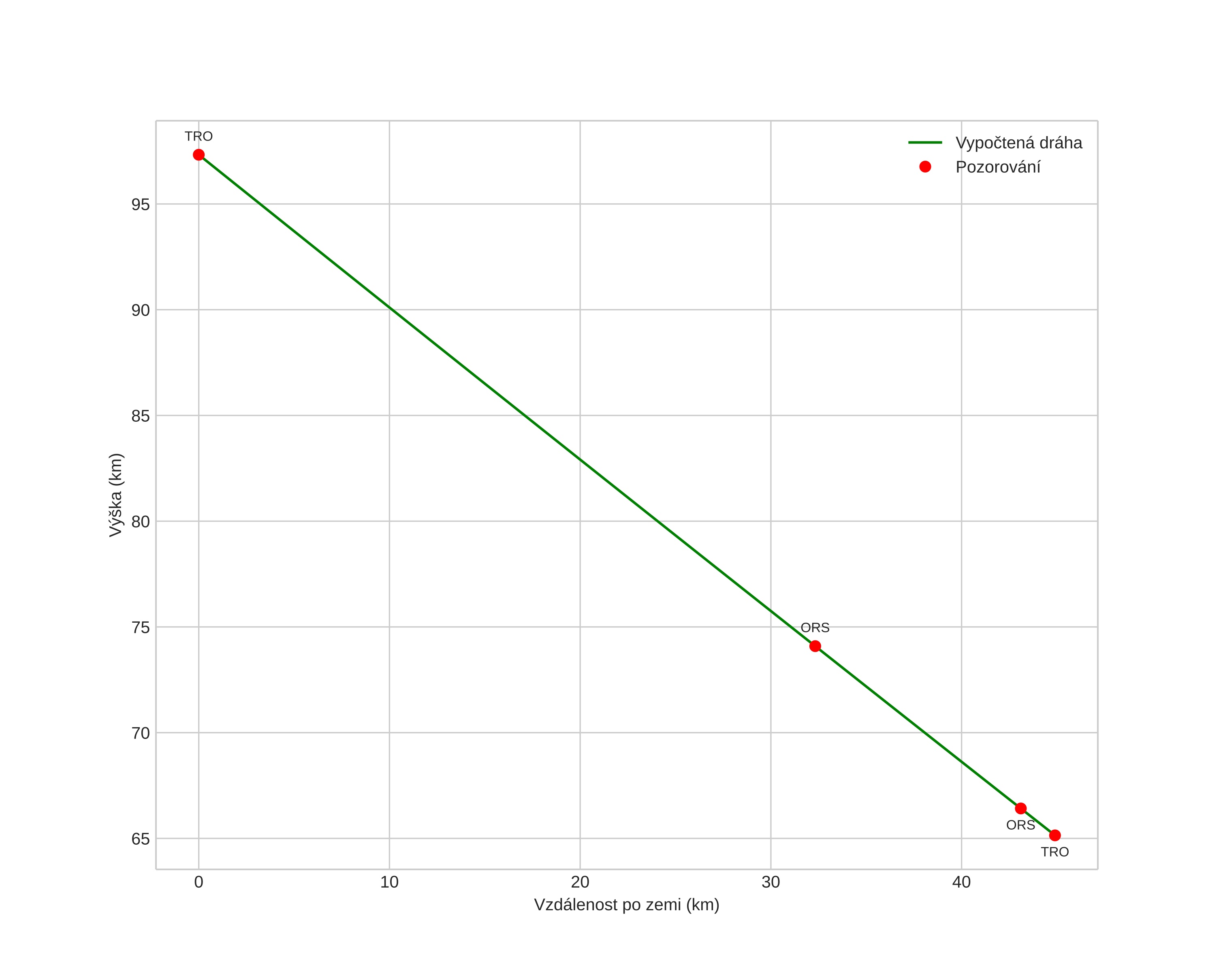
height profile
Atmosférická dráha meteoru:
Počáteční výška: 97,2 km
Konečná výška: 65,0 km
Počáteční poloha: 62,677N 6,590E
Konečná poloha: 62,631N 7,457E
Směr: 96,2°
Sklon: 35,8°
VstupnĂ­ rychlost: 38,6 km/s
Rektascenze radiantu: 07:37 (114,4°)
Deklinace radiantu: 32,8°
MeteorickĂ˝ roj: Geminidy
Elementy dráhy meteoroidu:
Vzdálenost v periheliu: 0,126 AU
Excentricita: 0,924
Sklon dráhy: 28,8°
Délka vzestupného uzlu: 262,4°
Argument perihelia: 324,8°
Střední anomálie: 343,5°
Epocha: 2020 DEC 14 06:48:55
orbit plot

NeinteraktivnĂ­ graf | InteraktivnĂ­ graf

position vs time
speed and acceleration