🇳🇴 🇬🇧 🇩🇪 🇨🇿 🇫🇮

Meteor, poloha: Hansnes 2020-12-19 00:46:08 UTC

Soubor KML  |  InteraktivnĂ­ mapa

Mapa zobrazuje dráhy meteoru. Světlejší čáry ukazují směry od pozorovacích stanic při objevení se meteoru a tmavší čáry, kde byl naposledy viděn. Modrá šipka značí viditelnou dráhu meteoru.

static map
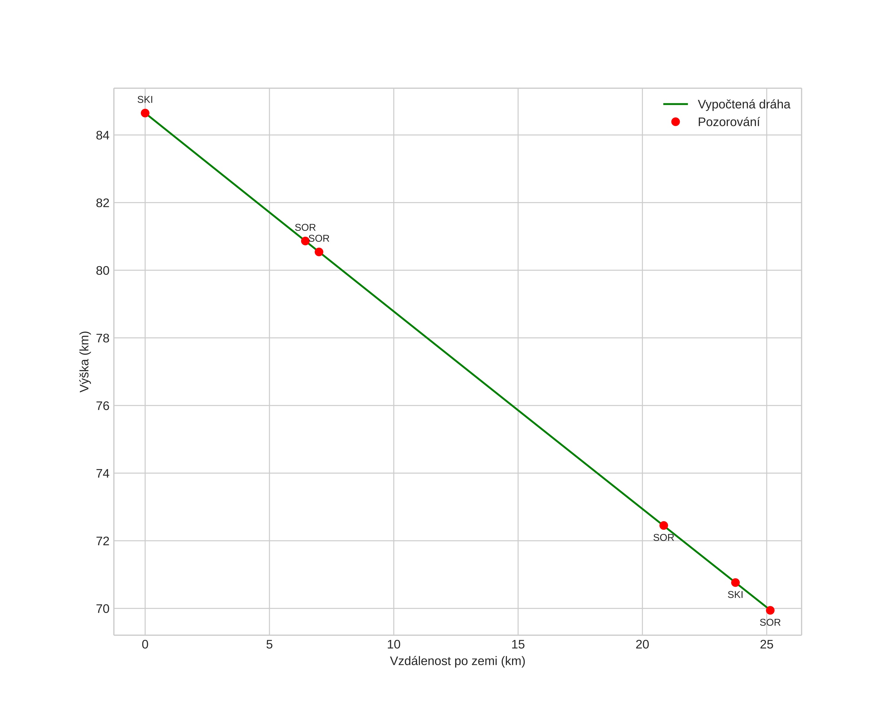
height profile
Atmosférická dráha meteoru:
Počáteční výška: 82,9 km
Konečná výška: 70,4 km
Počáteční poloha: 70,311N 19,613E
Konečná poloha: 70,488N 19,901E
Směr: 28,5°
Sklon: 29,2°
VstupnĂ­ rychlost: 26,9 km/s
Rektascenze radiantu: 06:11 (92,9°)
Deklinace radiantu: 8,4°
MeteorickĂ˝ roj: sporadickĂ˝
Elementy dráhy meteoroidu:
Vzdálenost v periheliu: 0,509 AU
Excentricita: 0,760
Sklon dráhy: 12,8°
Délka vzestupného uzlu: 87,3°
Argument perihelia: 96,8°
Střední anomálie: 345,7°
Epocha: 2020 DEC 19 00:46:08
orbit plot

NeinteraktivnĂ­ graf | InteraktivnĂ­ graf

position vs time
speed and acceleration