🇳🇴 🇬🇧 🇩🇪 🇨🇿 🇫🇮

Meteor, poloha: Jokkmokk 2020-12-19 01:33:46 UTC

Soubor KML  |  InteraktivnĂ­ mapa

Mapa zobrazuje dráhy meteoru. Světlejší čáry ukazují směry od pozorovacích stanic při objevení se meteoru a tmavší čáry, kde byl naposledy viděn. Modrá šipka značí viditelnou dráhu meteoru.

static map
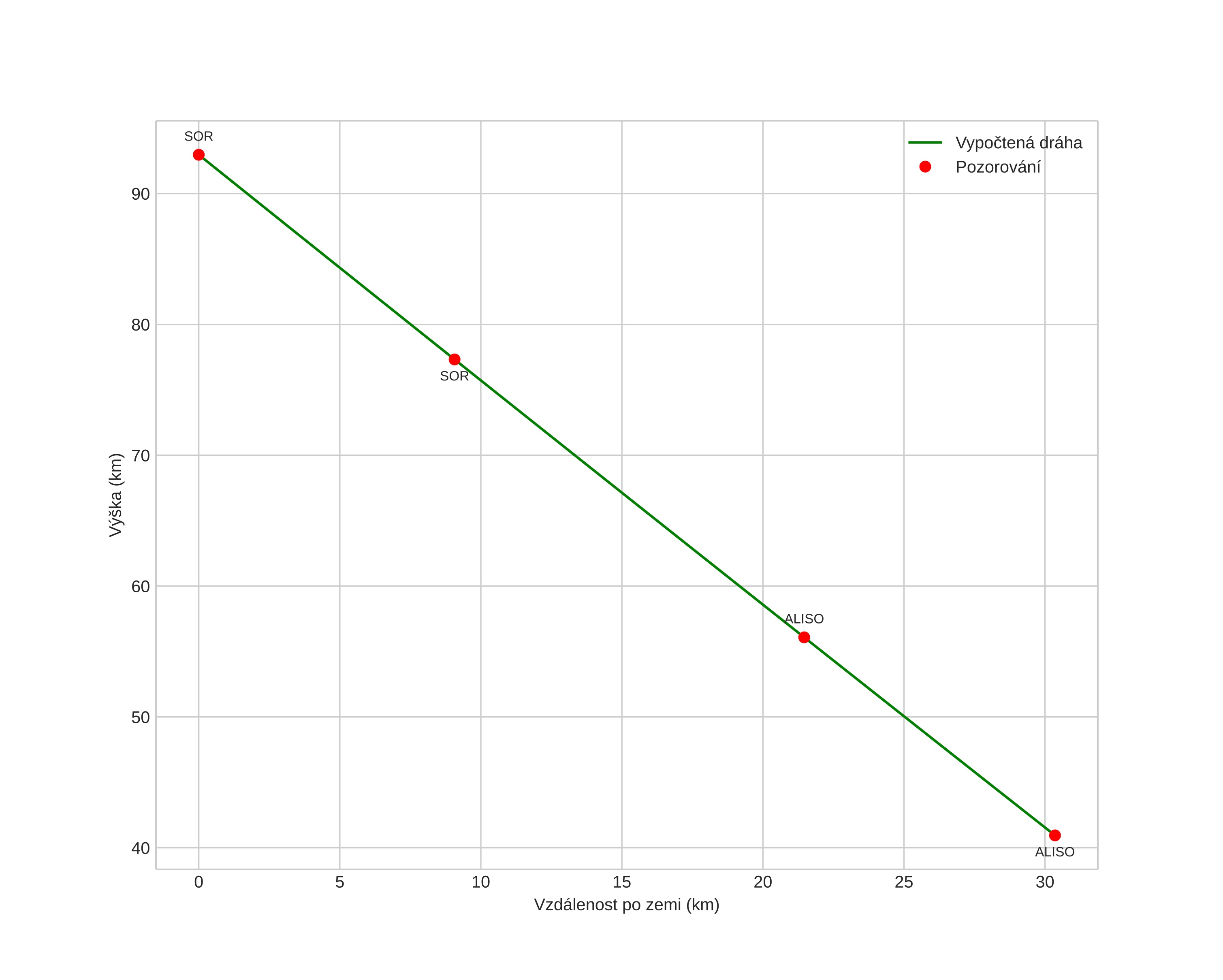
height profile
Atmosférická dráha meteoru:
Počáteční výška: 92,7 km
Konečná výška: 40,8 km
Počáteční poloha: 66,481N 19,706E
Konečná poloha: 66,452N 19,029E
Směr: 264,2°
Sklon: 59,8°
VstupnĂ­ rychlost: 45,4 km/s
Rektascenze radiantu: 12:41 (190,4°)
Deklinace radiantu: 54,2°
MeteorickĂ˝ roj: sporadickĂ˝
Elementy dráhy meteoroidu:
Vzdálenost v periheliu: 0,890 AU
Excentricita: 0,485
Sklon dráhy: 82,4°
Délka vzestupného uzlu: 267,3°
Argument perihelia: 224,9°
Střední anomálie: 345,4°
Epocha: 2020 DEC 19 01:33:46
orbit plot

NeinteraktivnĂ­ graf | InteraktivnĂ­ graf

position vs time
speed and acceleration