🇳🇴 🇬🇧 🇩🇪 🇨🇿 🇫🇮

Meteor, poloha: Alta 2020-12-22 03:17:31 UTC

Soubor KML  |  InteraktivnĂ­ mapa

Mapa zobrazuje dráhy meteoru. Světlejší čáry ukazují směry od pozorovacích stanic při objevení se meteoru a tmavší čáry, kde byl naposledy viděn. Modrá šipka značí viditelnou dráhu meteoru.

static map
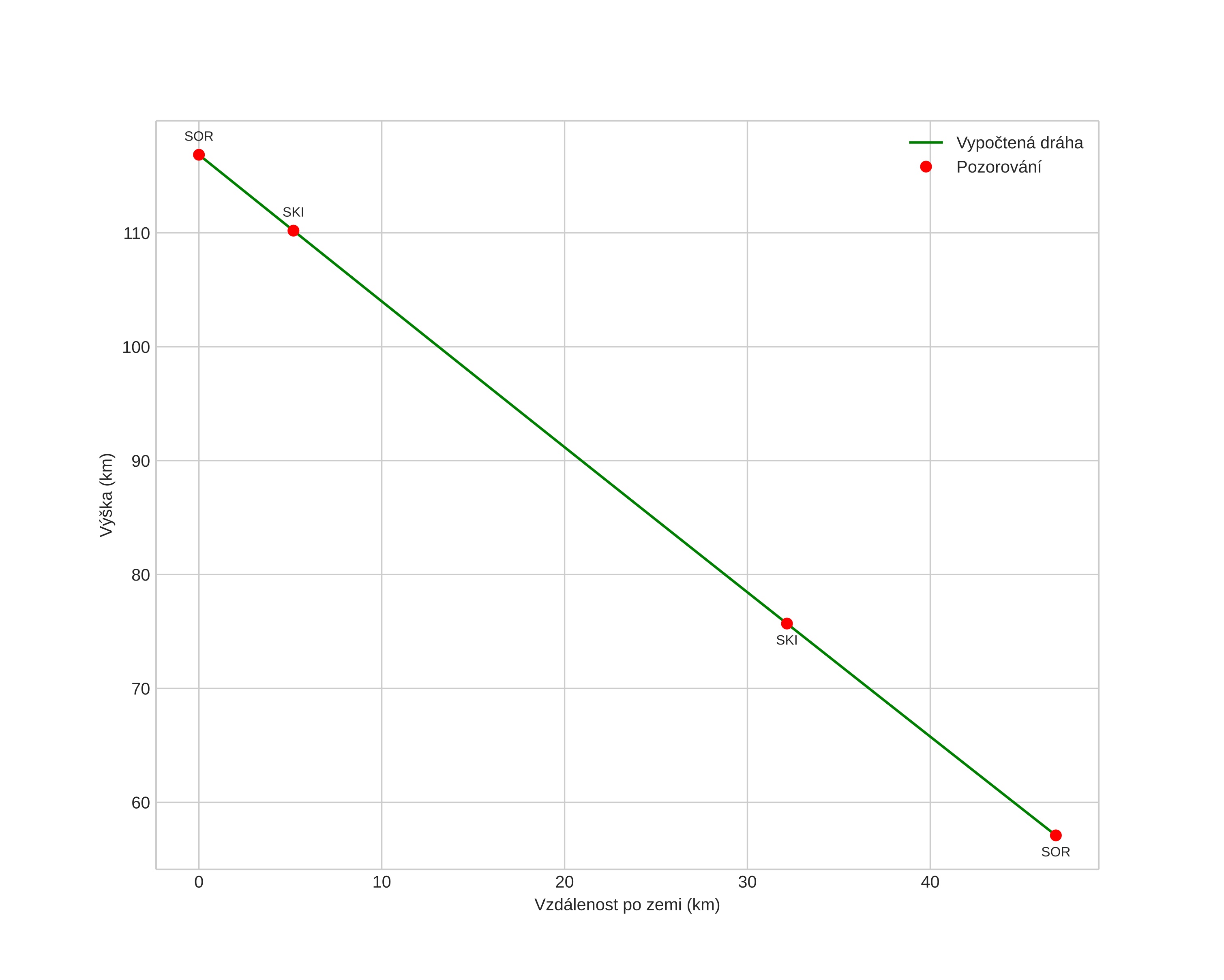
height profile
Atmosférická dráha meteoru:
Počáteční výška: 301,4 km
Konečná výška: 47,5 km
Počáteční poloha: 70,748N 36,406E
Konečná poloha: 69,791N 23,863E
Směr: 263,2°
Sklon: 27,8°
VstupnĂ­ rychlost: 135,1 km/s
Rektascenze radiantu: 17:32 (263,1°)
Deklinace radiantu: 28,3°
MeteorickĂ˝ roj: sporadickĂ˝
Elementy dráhy meteoroidu:
Vzdálenost v periheliu: 0,767 AU
Excentricita: 15,066
Sklon dráhy: 81,7°
Délka vzestupného uzlu: 270,4°
Argument perihelia: 139,9°
Střední anomálie: 626,4°
Epocha: 2020 DEC 22 03:17:31
orbit plot

NeinteraktivnĂ­ graf | InteraktivnĂ­ graf

position vs time
speed and acceleration