🇳🇴 🇬🇧 🇩🇪 🇨🇿 🇫🇮

Meteor, poloha: Røst 2020-12-22 03:32:34 UTC

Soubor KML  |  InteraktivnĂ­ mapa

Mapa zobrazuje dráhy meteoru. Světlejší čáry ukazují směry od pozorovacích stanic při objevení se meteoru a tmavší čáry, kde byl naposledy viděn. Modrá šipka značí viditelnou dráhu meteoru.

static map
height profile
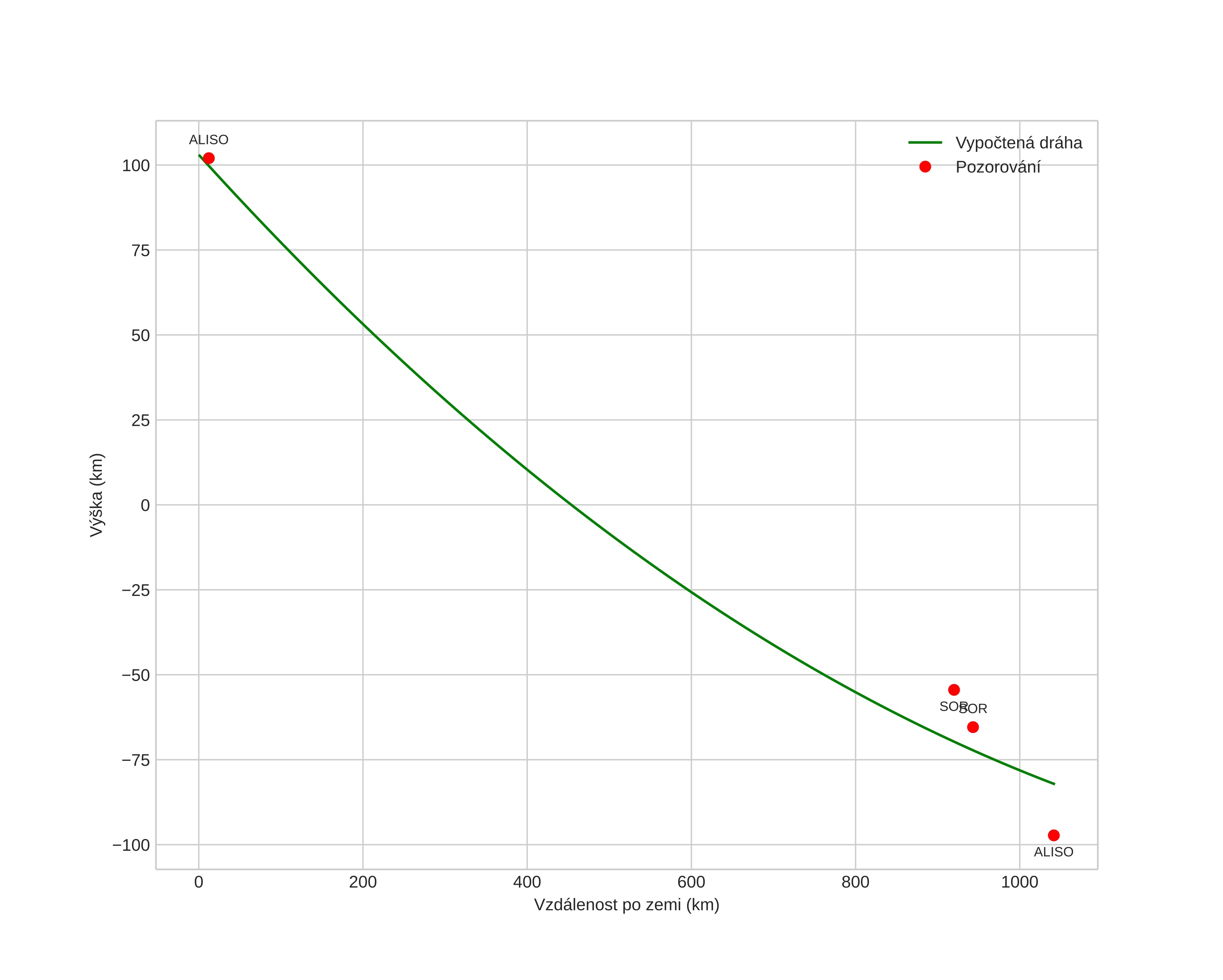
Atmosférická dráha meteoru:
Počáteční výška: 105,5 km
Konečná výška: -85,2 km
Počáteční poloha: 65,149N 25,507E
Konečná poloha: 72,542N 7,595E
Směr: 327,0°
Sklon: 10,0°
VstupnĂ­ rychlost: 73,0 km/s
Rektascenze radiantu: 13:30 (202,6°)
Deklinace radiantu: -11,4°
MeteorickĂ˝ roj: sporadickĂ˝
Elementy dráhy meteoroidu:
Vzdálenost v periheliu: 0,608 AU
Excentricita: 1,228
Sklon dráhy: 176,3°
Délka vzestupného uzlu: 90,4°
Argument perihelia: 287,8°
Střední anomálie: 7,5°
Epocha: 2020 DEC 22 03:32:34
orbit plot

NeinteraktivnĂ­ graf | InteraktivnĂ­ graf

position vs time
speed and acceleration