🇳🇴 🇬🇧 🇩🇪 🇨🇿 🇫🇮

Meteor, poloha: Kautokeino 2020-12-22 05:23:49 UTC

Soubor KML  |  InteraktivnĂ­ mapa

Mapa zobrazuje dráhy meteoru. Světlejší čáry ukazují směry od pozorovacích stanic při objevení se meteoru a tmavší čáry, kde byl naposledy viděn. Modrá šipka značí viditelnou dráhu meteoru.

static map
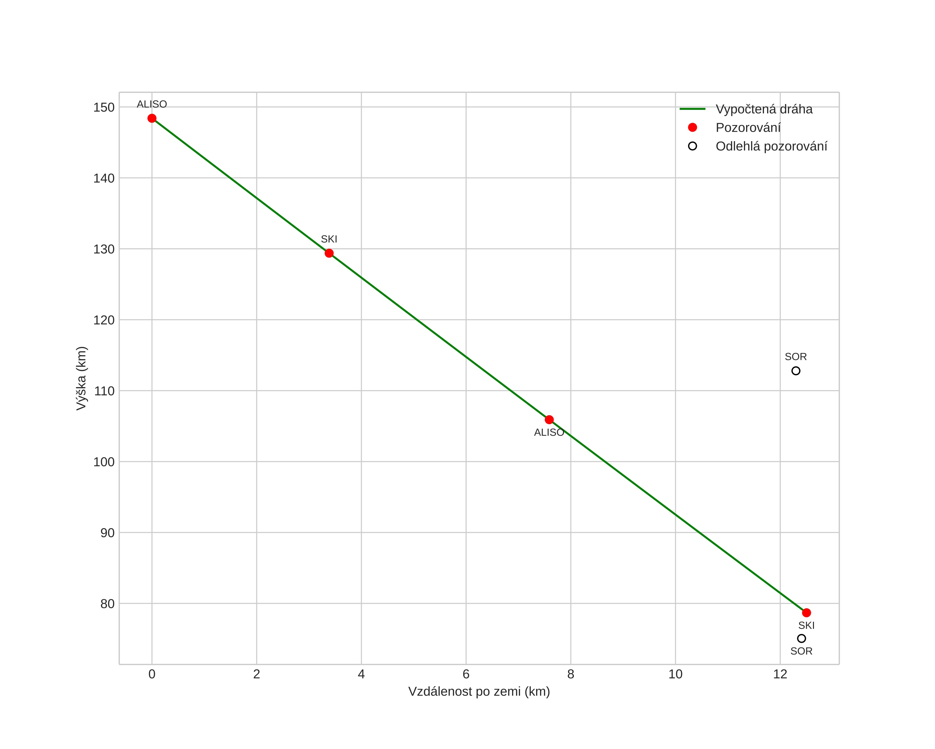
height profile
Atmosférická dráha meteoru:
Počáteční výška: 148,4 km
Konečná výška: 78,7 km
Počáteční poloha: 68,459N 22,666E
Konečná poloha: 68,452N 22,360E
Směr: 266,5°
Sklon: 79,8°
VstupnĂ­ rychlost: 53,0 km/s
Rektascenze radiantu: 14:44 (221,1°)
Deklinace radiantu: 66,9°
MeteorickĂ˝ roj: sporadickĂ˝
Elementy dráhy meteoroidu:
Vzdálenost v periheliu: 0,970 AU
Excentricita: 1,952
Sklon dráhy: 73,0°
Délka vzestupného uzlu: 270,5°
Argument perihelia: 191,6°
Střední anomálie: -6,3°
Epocha: 2020 DEC 22 05:23:49
orbit plot

NeinteraktivnĂ­ graf | InteraktivnĂ­ graf

position vs time
speed and acceleration