🇳🇴 🇬🇧 🇩🇪 🇨🇿 🇫🇮

Meteor, poloha: Setermoen 2020-12-22 19:41:57 UTC

Soubor KML  |  InteraktivnĂ­ mapa

Mapa zobrazuje dráhy meteoru. Světlejší čáry ukazují směry od pozorovacích stanic při objevení se meteoru a tmavší čáry, kde byl naposledy viděn. Modrá šipka značí viditelnou dráhu meteoru.

static map
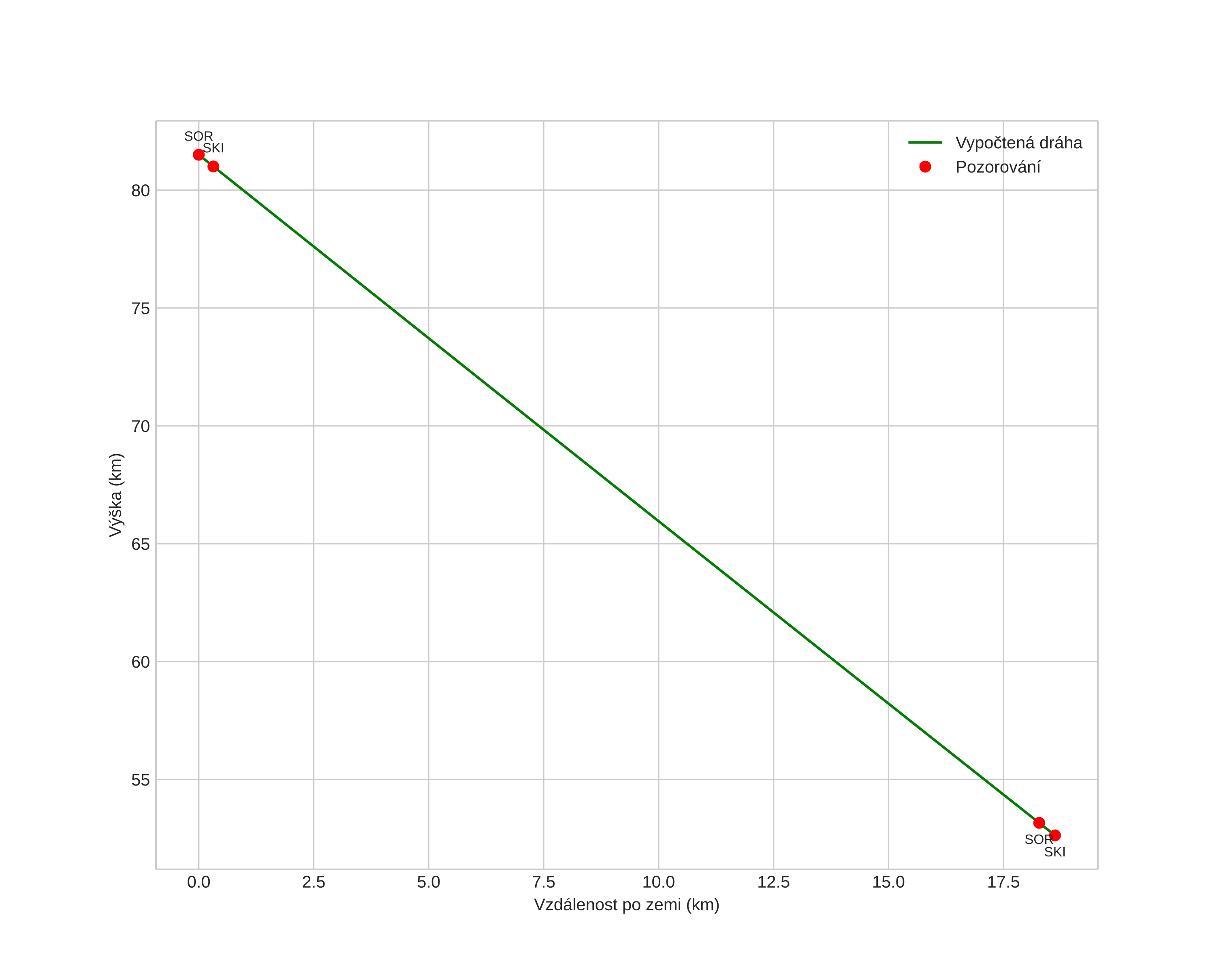
height profile
Atmosférická dráha meteoru:
Počáteční výška: 81,3 km
Konečná výška: 52,9 km
Počáteční poloha: 68,377N 18,374E
Konečná poloha: 68,308N 18,775E
Směr: 114,8°
Sklon: 57,4°
VstupnĂ­ rychlost: 17,9 km/s
Rektascenze radiantu: 21:28 (322,2°)
Deklinace radiantu: 56,3°
MeteorickĂ˝ roj: sporadickĂ˝
Elementy dráhy meteoroidu:
Vzdálenost v periheliu: 0,984 AU
Excentricita: 0,657
Sklon dráhy: 19,3°
Délka vzestupného uzlu: 271,1°
Argument perihelia: 181,0°
Střední anomálie: 359,8°
Epocha: 2020 DEC 22 19:41:57
orbit plot

NeinteraktivnĂ­ graf | InteraktivnĂ­ graf

position vs time
speed and acceleration