🇳🇴 🇬🇧 🇩🇪 🇨🇿 🇫🇮

Meteor, poloha: Enontekiö 2020-12-22 20:16:32 UTC

Soubor KML  |  InteraktivnĂ­ mapa

Mapa zobrazuje dráhy meteoru. Světlejší čáry ukazují směry od pozorovacích stanic při objevení se meteoru a tmavší čáry, kde byl naposledy viděn. Modrá šipka značí viditelnou dráhu meteoru.

static map
height profile
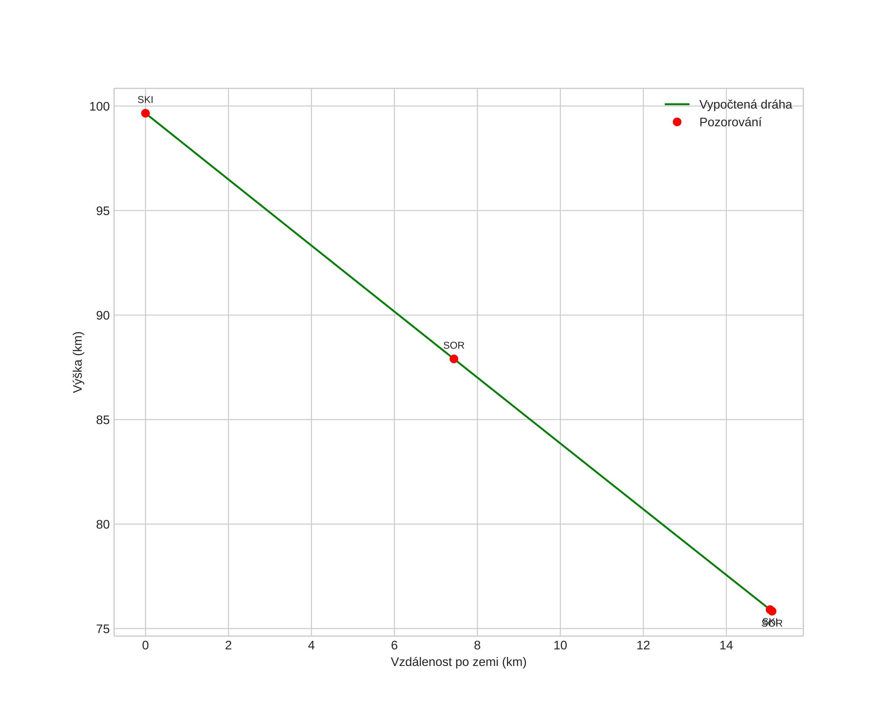
Atmosférická dráha meteoru:
Počáteční výška: 100,7 km
Konečná výška: 76,0 km
Počáteční poloha: 68,755N 23,995E
Konečná poloha: 68,612N 23,937E
Směr: 188,5°
Sklon: 56,9°
VstupnĂ­ rychlost: 35,1 km/s
Rektascenze radiantu: 14:40 (220,0°)
Deklinace radiantu: 77,0°
MeteorickĂ˝ roj: Ursidy
Elementy dráhy meteoroidu:
Vzdálenost v periheliu: 0,937 AU
Excentricita: 0,881
Sklon dráhy: 52,1°
Délka vzestupného uzlu: 271,2°
Argument perihelia: 206,1°
Střední anomálie: 359,2°
Epocha: 2020 DEC 22 20:16:32
orbit plot

NeinteraktivnĂ­ graf | InteraktivnĂ­ graf

position vs time
speed and acceleration