🇳🇴 🇬🇧 🇩🇪 🇨🇿 🇫🇮

Meteor, poloha: Dokka 2020-12-24 19:25:26 UTC

Soubor KML  |  InteraktivnĂ­ mapa

Mapa zobrazuje dráhy meteoru. Světlejší čáry ukazují směry od pozorovacích stanic při objevení se meteoru a tmavší čáry, kde byl naposledy viděn. Modrá šipka značí viditelnou dráhu meteoru.

static map
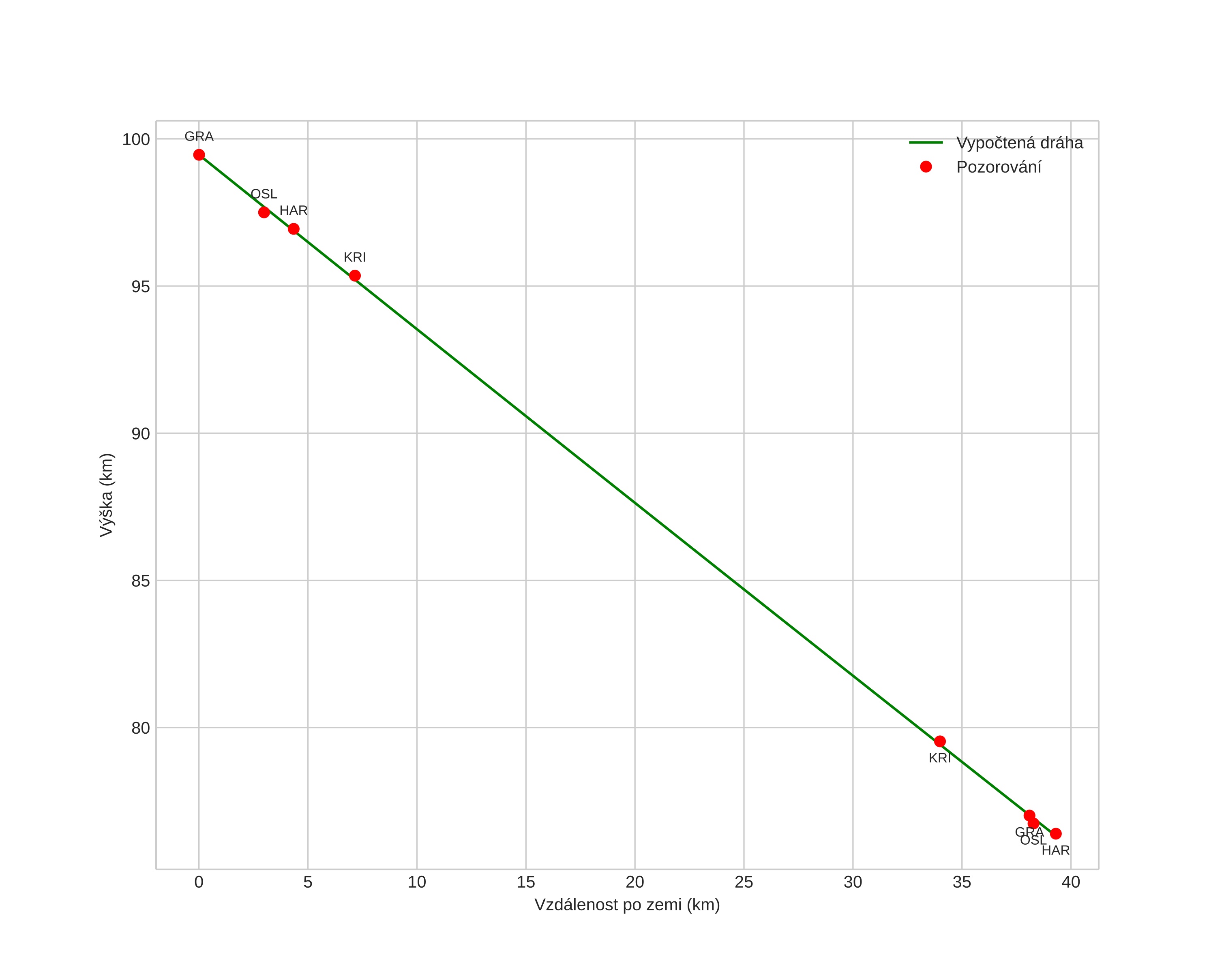
height profile
Atmosférická dráha meteoru:
Počáteční výška: 102,6 km
Konečná výška: 78,5 km
Počáteční poloha: 60,915N 9,359E
Konečná poloha: 60,690N 9,966E
Směr: 126,9°
Sklon: 30,2°
VstupnĂ­ rychlost: 23,8 km/s
Rektascenze radiantu: 18:59 (284,9°)
Deklinace radiantu: 40,0°
MeteorickĂ˝ roj: sporadickĂ˝
Elementy dráhy meteoroidu:
Vzdálenost v periheliu: 0,925 AU
Excentricita: 0,774
Sklon dráhy: 28,9°
Délka vzestupného uzlu: 273,2°
Argument perihelia: 149,6°
Střední anomálie: 2,6°
Epocha: 2020 DEC 24 19:25:26
orbit plot

NeinteraktivnĂ­ graf | InteraktivnĂ­ graf

position vs time
speed and acceleration