🇳🇴 🇬🇧 🇩🇪 🇨🇿 🇫🇮

Meteor, poloha: Ă…mli 2020-12-25 03:17:22 UTC

Soubor KML  |  InteraktivnĂ­ mapa

Mapa zobrazuje dráhy meteoru. Světlejší čáry ukazují směry od pozorovacích stanic při objevení se meteoru a tmavší čáry, kde byl naposledy viděn. Modrá šipka značí viditelnou dráhu meteoru.

static map
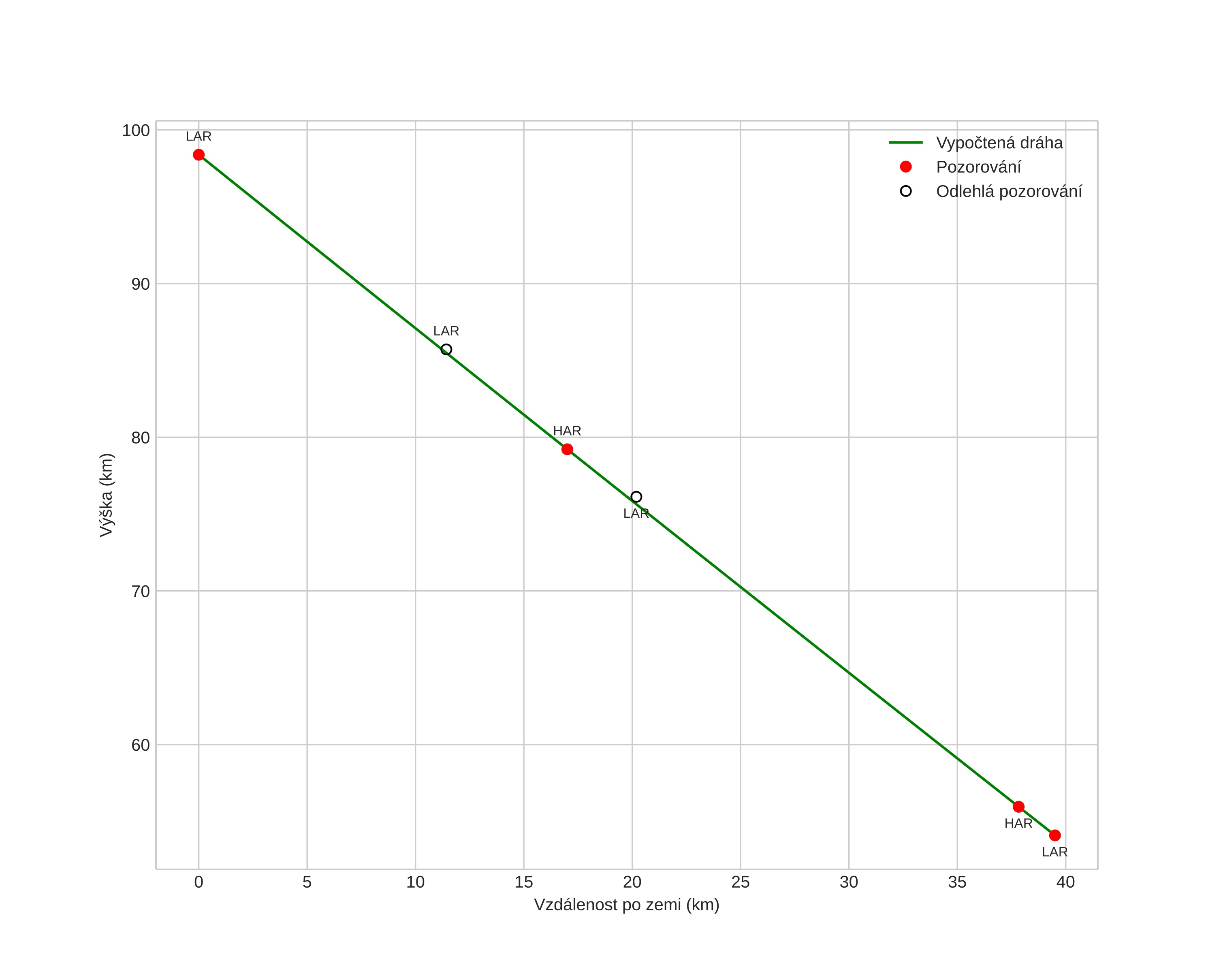
height profile
Atmosférická dráha meteoru:
Počáteční výška: 98,4 km
Konečná výška: 54,2 km
Počáteční poloha: 58,929N 9,040E
Konečná poloha: 58,762N 8,416E
Směr: 242,9°
Sklon: 47,6°
VstupnĂ­ rychlost: 39,2 km/s
Rektascenze radiantu: 15:28 (232,0°)
Deklinace radiantu: 51,9°
MeteorickĂ˝ roj: sporadickĂ˝
Elementy dráhy meteoroidu:
Vzdálenost v periheliu: 0,969 AU
Excentricita: 0,606
Sklon dráhy: 65,3°
Délka vzestupného uzlu: 273,5°
Argument perihelia: 163,9°
Střední anomálie: 3,2°
Epocha: 2020 DEC 25 03:17:22
orbit plot

NeinteraktivnĂ­ graf | InteraktivnĂ­ graf

position vs time
speed and acceleration