🇳🇴 🇬🇧 🇩🇪 🇨🇿 🇫🇮

Meteor, poloha: Lærdalsøyri 2020-12-25 15:34:58 UTC

Soubor KML  |  InteraktivnĂ­ mapa

Mapa zobrazuje dráhy meteoru. Světlejší čáry ukazují směry od pozorovacích stanic při objevení se meteoru a tmavší čáry, kde byl naposledy viděn. Modrá šipka značí viditelnou dráhu meteoru.

static map
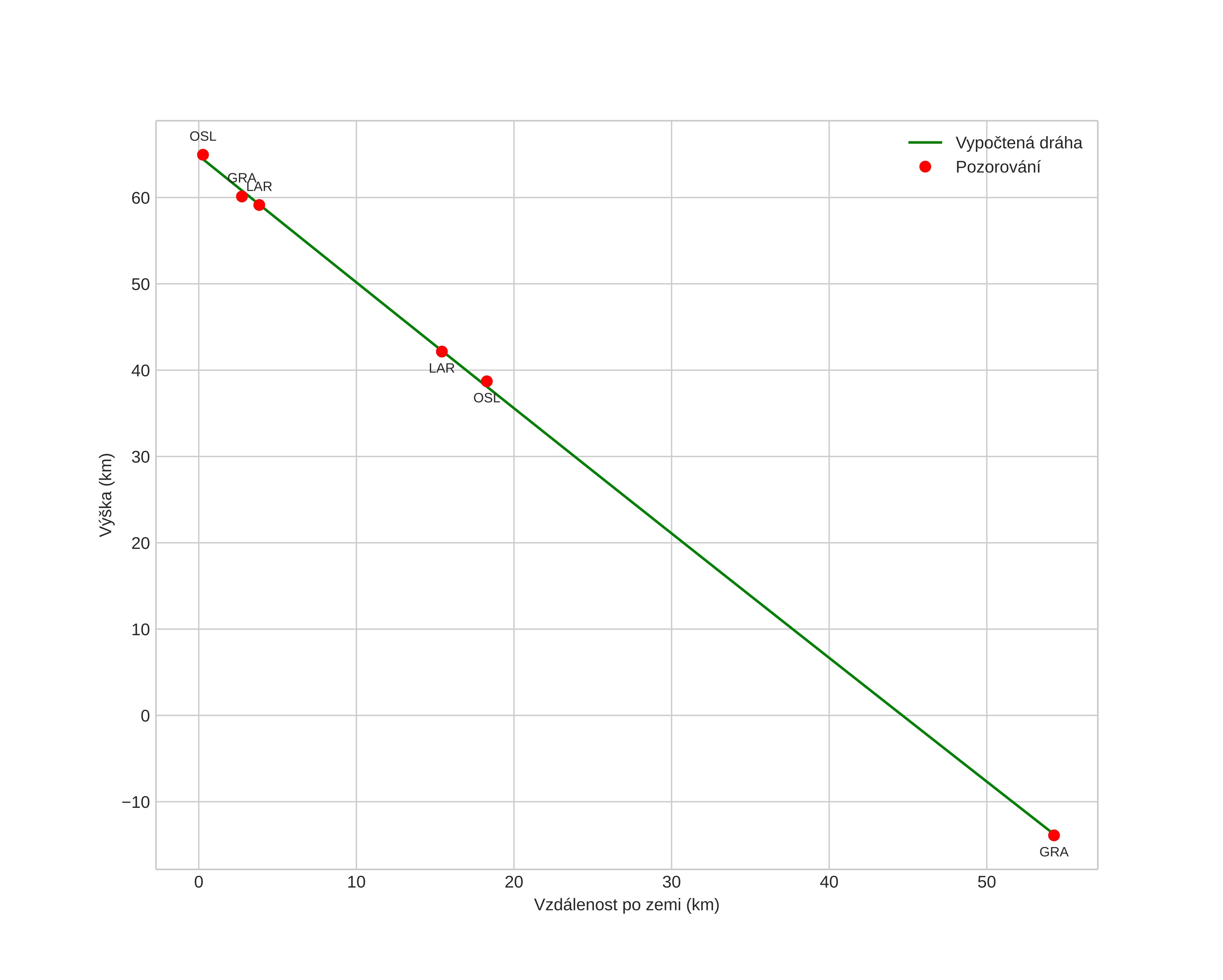
height profile
Atmosférická dráha meteoru:
Počáteční výška: 64,0 km
Konečná výška: 35,6 km
Počáteční poloha: 60,526N 7,876E
Konečná poloha: 60,706N 7,721E
Směr: 337,1°
Sklon: 52,5°
VstupnĂ­ rychlost: 13,5 km/s
Rektascenze radiantu: 23:28 (352,1°)
Deklinace radiantu: 13,8°
MeteorickĂ˝ roj: sporadickĂ˝
Elementy dráhy meteoroidu:
Vzdálenost v periheliu: 0,983 AU
Excentricita: 0,561
Sklon dráhy: 3,1°
Délka vzestupného uzlu: 274,0°
Argument perihelia: 177,4°
Střední anomálie: 0,6°
Epocha: 2020 DEC 25 15:34:58
orbit plot

NeinteraktivnĂ­ graf | InteraktivnĂ­ graf

position vs time
speed and acceleration