🇳🇴 🇬🇧 🇩🇪 🇨🇿 🇫🇮

Meteor, poloha: Batnfjordsøra 2021-01-03 07:10:32 UTC

Soubor KML  |  InteraktivnĂ­ mapa

Mapa zobrazuje dráhy meteoru. Světlejší čáry ukazují směry od pozorovacích stanic při objevení se meteoru a tmavší čáry, kde byl naposledy viděn. Modrá šipka značí viditelnou dráhu meteoru.

static map
height profile
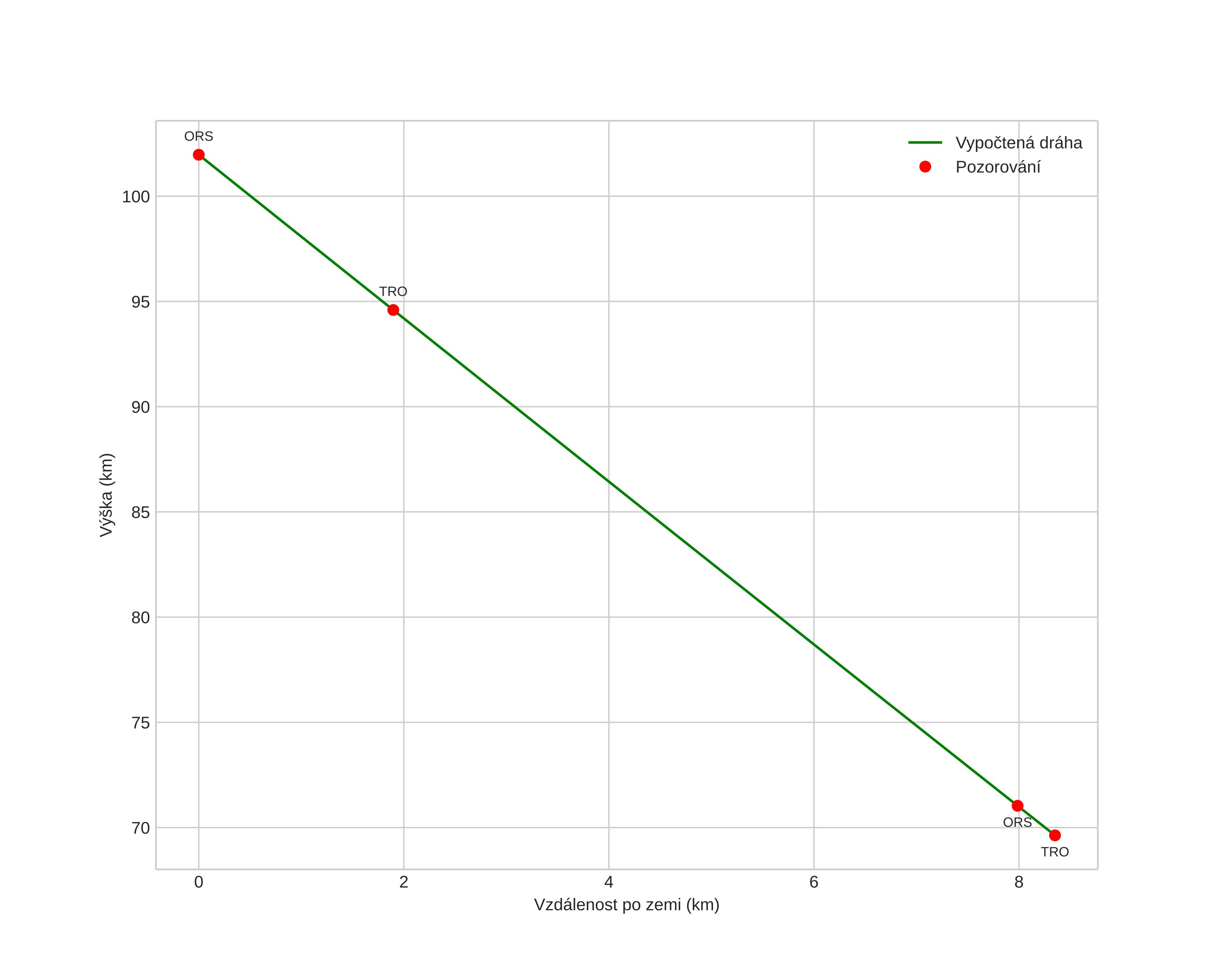
Atmosférická dráha meteoru:
Počáteční výška: 99,3 km
Konečná výška: 70,8 km
Počáteční poloha: 62,900N 7,803E
Konečná poloha: 62,960N 7,741E
Směr: 334,7°
Sklon: 75,4°
VstupnĂ­ rychlost: 43,5 km/s
Rektascenze radiantu: 15:09 (227,5°)
Deklinace radiantu: 49,0°
MeteorickĂ˝ roj: Kvadrantidy
Elementy dráhy meteoroidu:
Vzdálenost v periheliu: 0,981 AU
Excentricita: 0,666
Sklon dráhy: 73,8°
Délka vzestupného uzlu: 282,8°
Argument perihelia: 173,6°
Střední anomálie: 1,0°
Epocha: 2021 JAN 03 07:10:32
orbit plot

NeinteraktivnĂ­ graf | InteraktivnĂ­ graf

position vs time
speed and acceleration