🇳🇴 🇬🇧 🇩🇪 🇨🇿 🇫🇮

Meteor, poloha: Vestbygd 2021-01-03 16:37:46 UTC

Soubor KML  |  InteraktivnĂ­ mapa

Mapa zobrazuje dráhy meteoru. Světlejší čáry ukazují směry od pozorovacích stanic při objevení se meteoru a tmavší čáry, kde byl naposledy viděn. Modrá šipka značí viditelnou dráhu meteoru.

static map
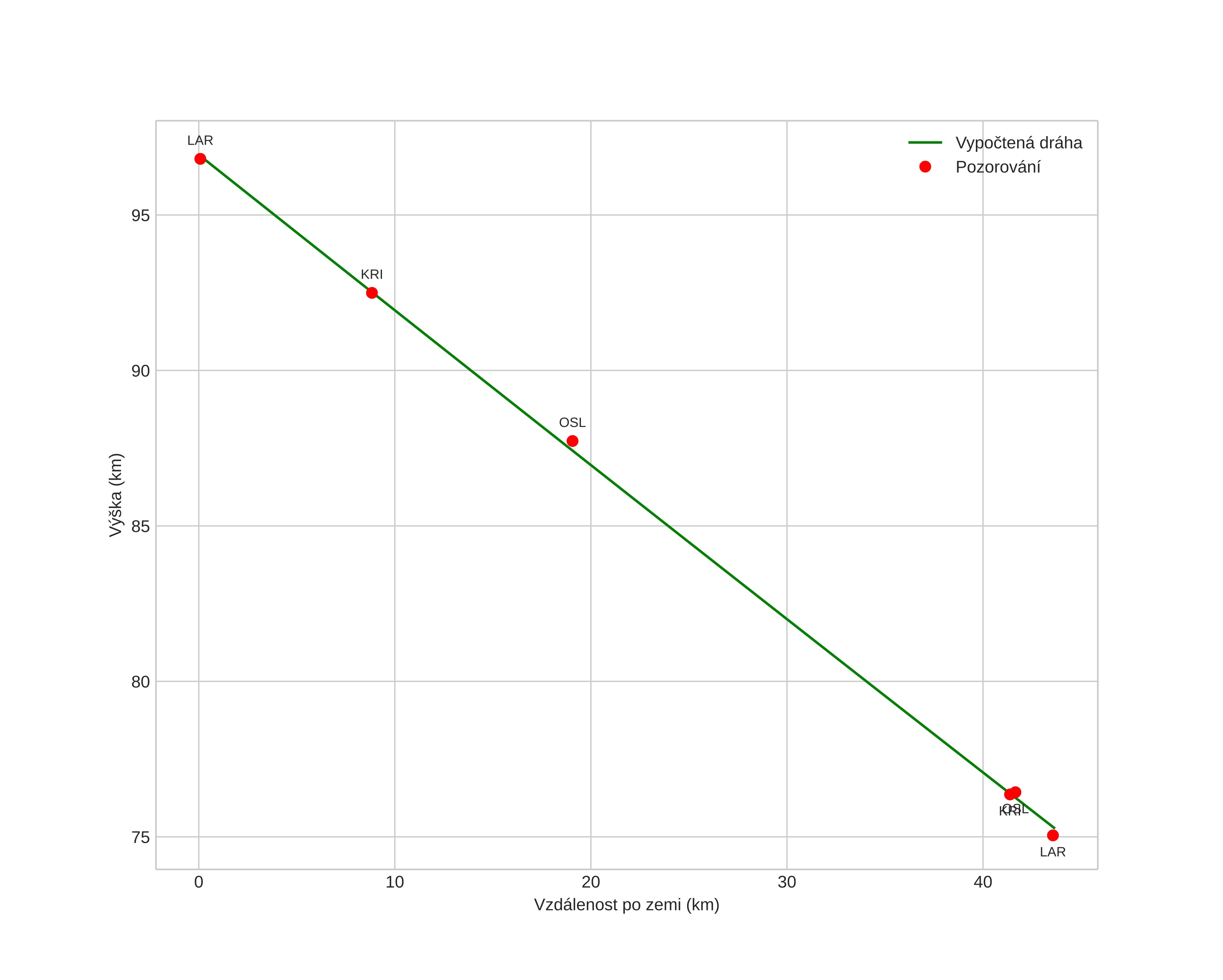
height profile
Atmosférická dráha meteoru:
Počáteční výška: 96,0 km
Konečná výška: 74,3 km
Počáteční poloha: 57,992N 6,046E
Konečná poloha: 57,676N 6,439E
Směr: 146,3°
Sklon: 27,2°
VstupnĂ­ rychlost: 42,5 km/s
Rektascenze radiantu: 15:21 (230,4°)
Deklinace radiantu: 50,1°
MeteorickĂ˝ roj: Kvadrantidy
Elementy dráhy meteoroidu:
Vzdálenost v periheliu: 0,980 AU
Excentricita: 0,699
Sklon dráhy: 71,4°
Délka vzestupného uzlu: 283,2°
Argument perihelia: 172,5°
Střední anomálie: 1,0°
Epocha: 2021 JAN 03 16:37:46
orbit plot

NeinteraktivnĂ­ graf | InteraktivnĂ­ graf

position vs time
speed and acceleration