🇳🇴 🇬🇧 🇩🇪 🇨🇿 🇫🇮

Meteor, poloha: Skui 2021-01-03 17:57:35 UTC

Soubor KML  |  InteraktivnĂ­ mapa

Mapa zobrazuje dráhy meteoru. Světlejší čáry ukazují směry od pozorovacích stanic při objevení se meteoru a tmavší čáry, kde byl naposledy viděn. Modrá šipka značí viditelnou dráhu meteoru.

static map
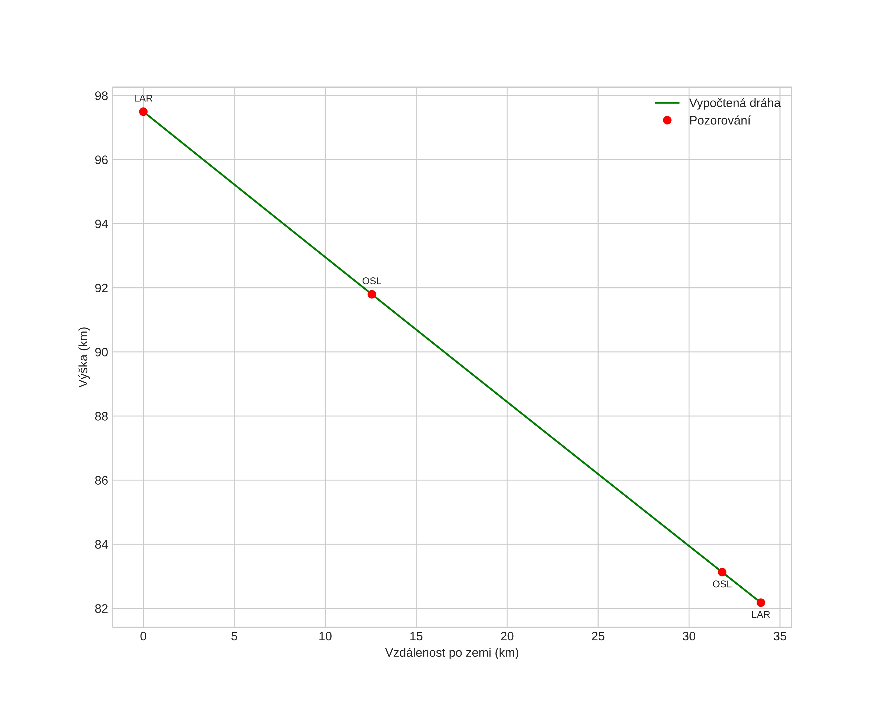
height profile
Atmosférická dráha meteoru:
Počáteční výška: 98,4 km
Konečná výška: 82,8 km
Počáteční poloha: 60,292N 10,277E
Konečná poloha: 59,997N 10,457E
Směr: 163,0°
Sklon: 24,5°
VstupnĂ­ rychlost: 43,3 km/s
Rektascenze radiantu: 15:15 (228,8°)
Deklinace radiantu: 51,1°
MeteorickĂ˝ roj: Kvadrantidy
Elementy dráhy meteoroidu:
Vzdálenost v periheliu: 0,982 AU
Excentricita: 0,750
Sklon dráhy: 72,1°
Délka vzestupného uzlu: 283,3°
Argument perihelia: 176,2°
Střední anomálie: 0,4°
Epocha: 2021 JAN 03 17:57:35
orbit plot

NeinteraktivnĂ­ graf | InteraktivnĂ­ graf

position vs time
speed and acceleration