🇳🇴 🇬🇧 🇩🇪 🇨🇿 🇫🇮

Meteor, poloha: Rjukan 2021-01-03 18:55:55 UTC

Soubor KML  |  InteraktivnĂ­ mapa

Mapa zobrazuje dráhy meteoru. Světlejší čáry ukazují směry od pozorovacích stanic při objevení se meteoru a tmavší čáry, kde byl naposledy viděn. Modrá šipka značí viditelnou dráhu meteoru.

static map
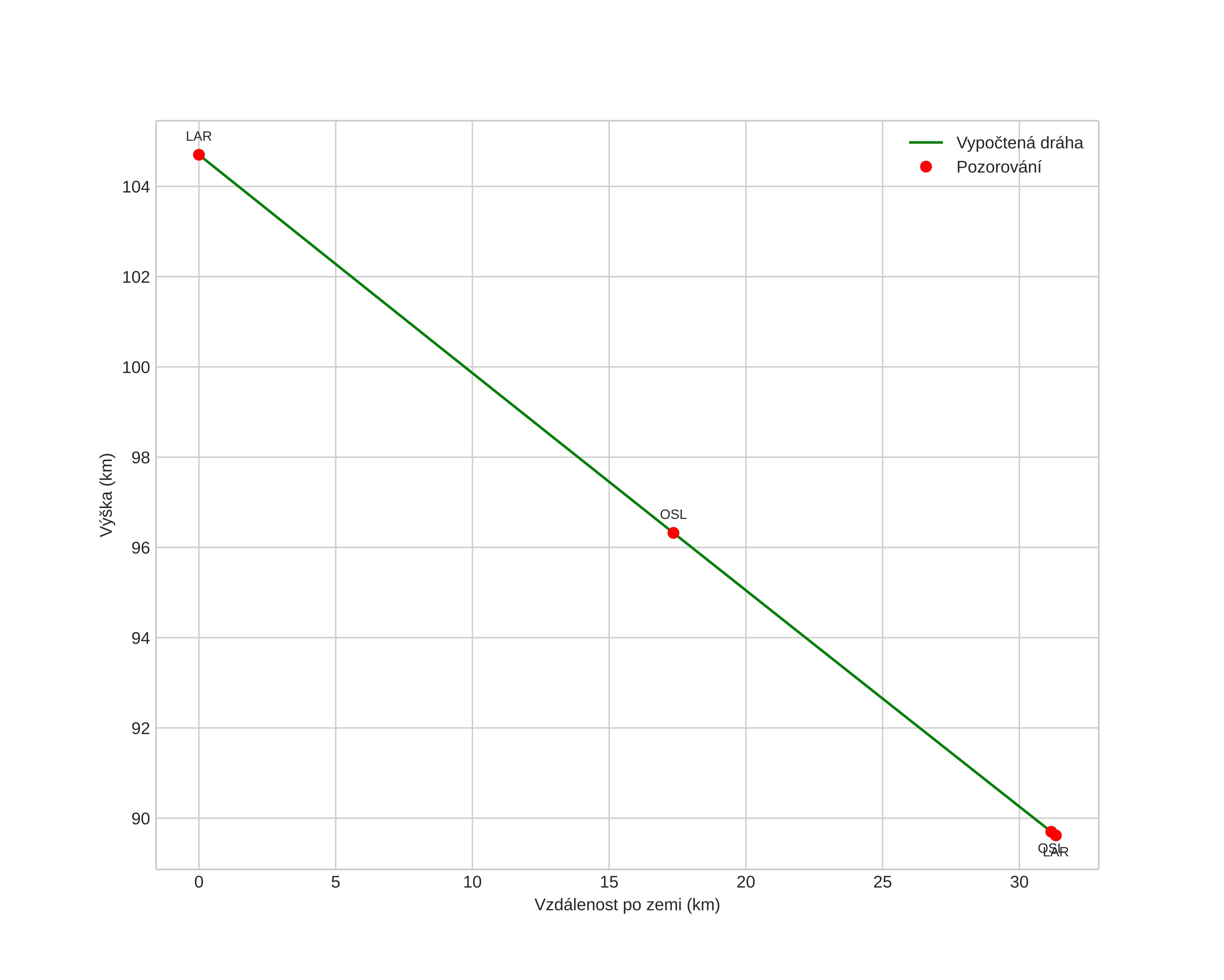
height profile
Atmosférická dráha meteoru:
Počáteční výška: 106,8 km
Konečná výška: 88,7 km
Počáteční poloha: 60,086N 8,185E
Konečná poloha: 59,769N 8,364E
Směr: 164,1°
Sklon: 26,3°
VstupnĂ­ rychlost: 58,3 km/s
Rektascenze radiantu: 16:03 (240,8°)
Deklinace radiantu: 53,9°
MeteorickĂ˝ roj: sporadickĂ˝
Elementy dráhy meteoroidu:
Vzdálenost v periheliu: 0,978 AU
Excentricita: 2,433
Sklon dráhy: 77,3°
Délka vzestupného uzlu: 283,3°
Argument perihelia: 173,3°
Střední anomálie: 6,2°
Epocha: 2021 JAN 03 18:55:55
orbit plot

NeinteraktivnĂ­ graf | InteraktivnĂ­ graf

position vs time
speed and acceleration