🇳🇴 🇬🇧 🇩🇪 🇨🇿 🇫🇮

Meteor, poloha: Moi 2021-01-03 20:23:55 UTC

Soubor KML  |  InteraktivnĂ­ mapa

Mapa zobrazuje dráhy meteoru. Světlejší čáry ukazují směry od pozorovacích stanic při objevení se meteoru a tmavší čáry, kde byl naposledy viděn. Modrá šipka značí viditelnou dráhu meteoru.

static map
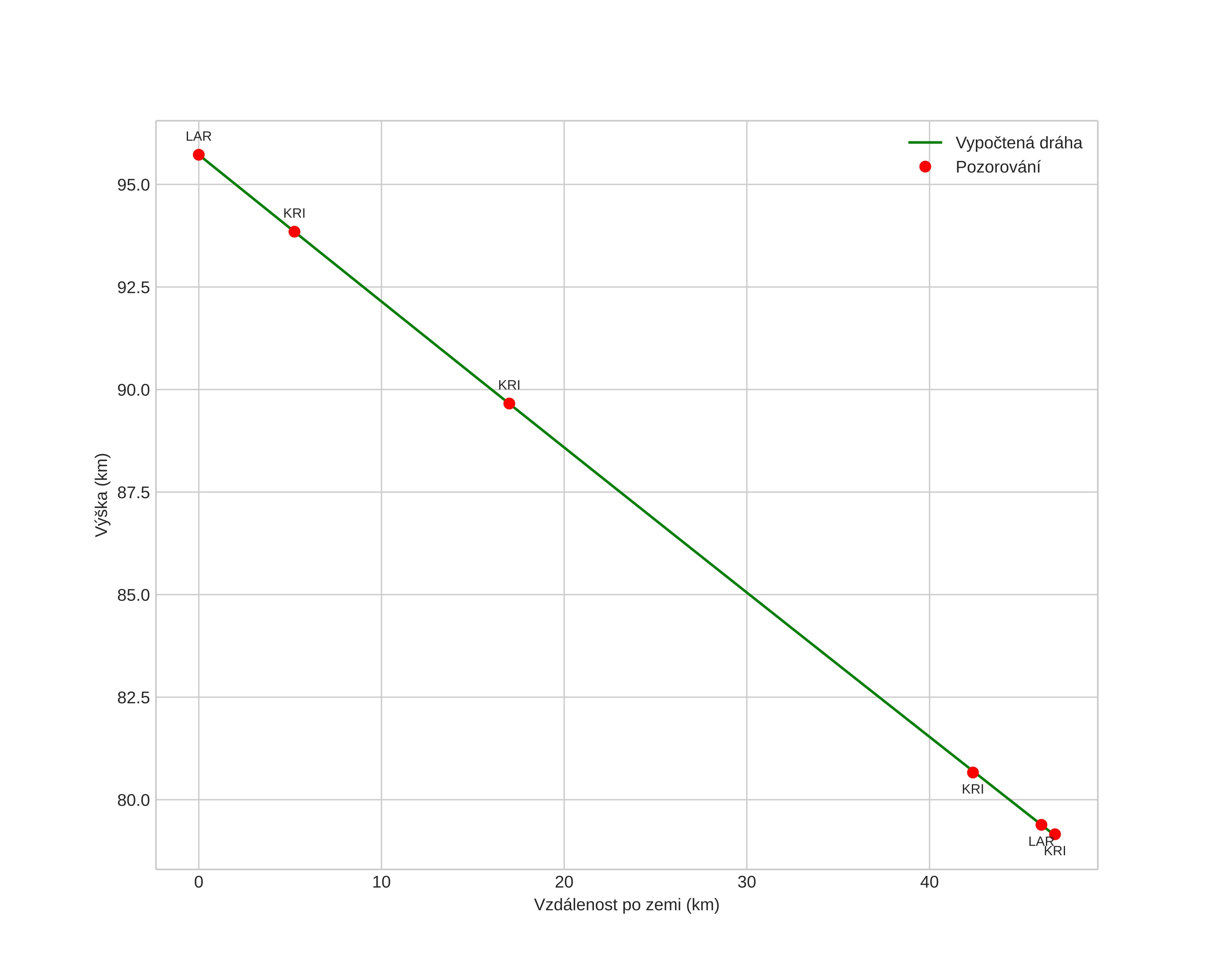
height profile
Atmosférická dráha meteoru:
Počáteční výška: 96,7 km
Konečná výška: 78,7 km
Počáteční poloha: 58,877N 6,639E
Konečná poloha: 58,430N 6,549E
Směr: 186,0°
Sklon: 19,8°
VstupnĂ­ rychlost: 41,0 km/s
Rektascenze radiantu: 15:11 (227,8°)
Deklinace radiantu: 49,3°
MeteorickĂ˝ roj: Kvadrantidy
Elementy dráhy meteoroidu:
Vzdálenost v periheliu: 0,981 AU
Excentricita: 0,525
Sklon dráhy: 70,8°
Délka vzestupného uzlu: 283,4°
Argument perihelia: 173,4°
Střední anomálie: 1,7°
Epocha: 2021 JAN 03 20:23:55
orbit plot

NeinteraktivnĂ­ graf | InteraktivnĂ­ graf

position vs time
speed and acceleration