🇳🇴 🇬🇧 🇩🇪 🇨🇿 🇫🇮

Meteor, poloha: Moi 2021-01-03 20:23:56 UTC

Soubor KML  |  InteraktivnĂ­ mapa

Mapa zobrazuje dráhy meteoru. Světlejší čáry ukazují směry od pozorovacích stanic při objevení se meteoru a tmavší čáry, kde byl naposledy viděn. Modrá šipka značí viditelnou dráhu meteoru.

static map
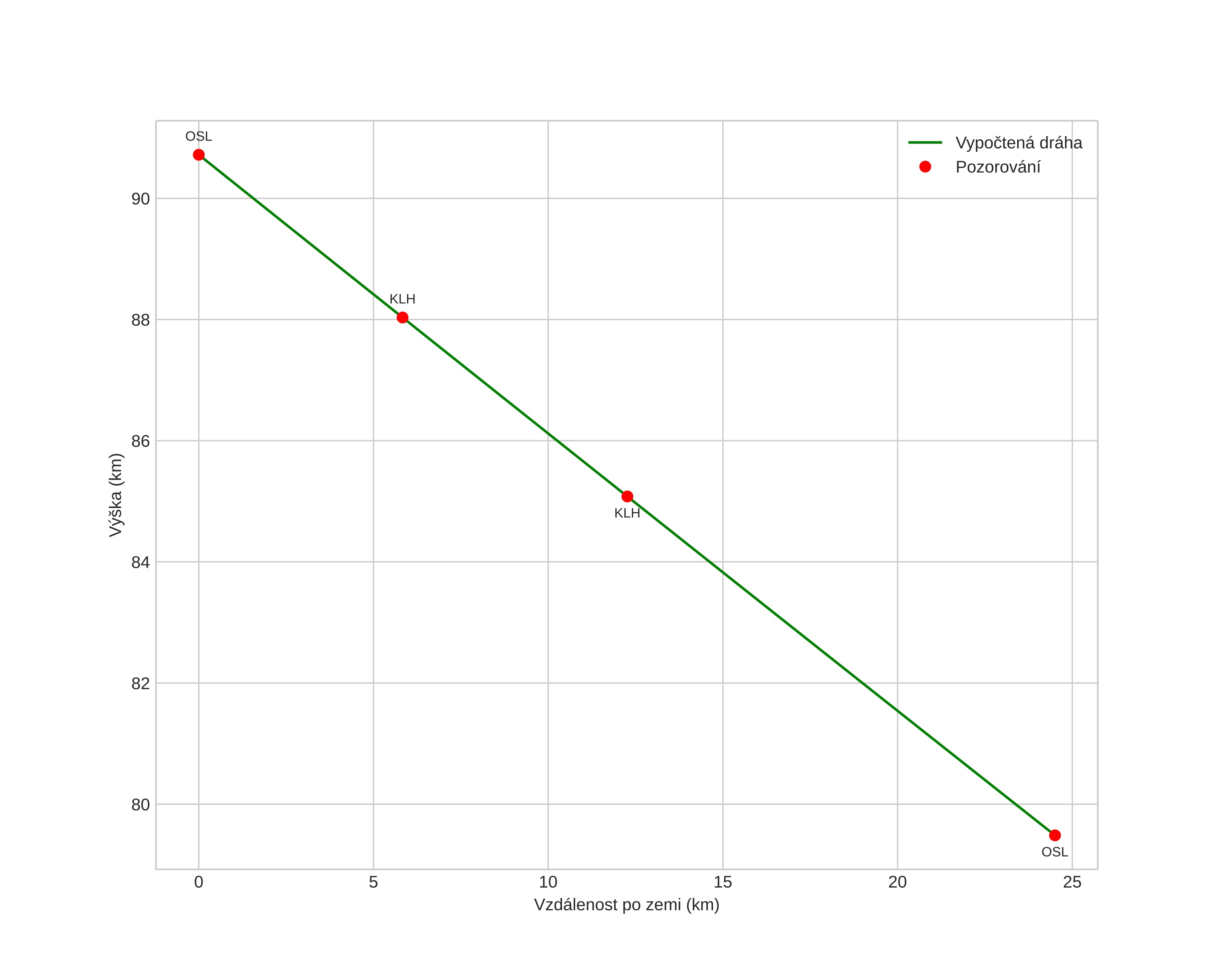
height profile
Atmosférická dráha meteoru:
Počáteční výška: 90,2 km
Konečná výška: 78,6 km
Počáteční poloha: 58,726N 6,607E
Konečná poloha: 58,499N 6,630E
Směr: 177,0°
Sklon: 24,7°
VstupnĂ­ rychlost: 37,8 km/s
Rektascenze radiantu: 16:05 (241,4°)
Deklinace radiantu: 54,3°
MeteorickĂ˝ roj: Kvadrantidy
Elementy dráhy meteoroidu:
Vzdálenost v periheliu: 0,977 AU
Excentricita: 0,723
Sklon dráhy: 60,7°
Délka vzestupného uzlu: 283,4°
Argument perihelia: 170,2°
Střední anomálie: 1,1°
Epocha: 2021 JAN 03 20:23:56
orbit plot

NeinteraktivnĂ­ graf | InteraktivnĂ­ graf

position vs time
speed and acceleration