🇳🇴 🇬🇧 🇩🇪 🇨🇿 🇫🇮

Meteor, poloha: Noresund 2021-01-03 21:07:01 UTC

Soubor KML  |  InteraktivnĂ­ mapa

Mapa zobrazuje dráhy meteoru. Světlejší čáry ukazují směry od pozorovacích stanic při objevení se meteoru a tmavší čáry, kde byl naposledy viděn. Modrá šipka značí viditelnou dráhu meteoru.

static map
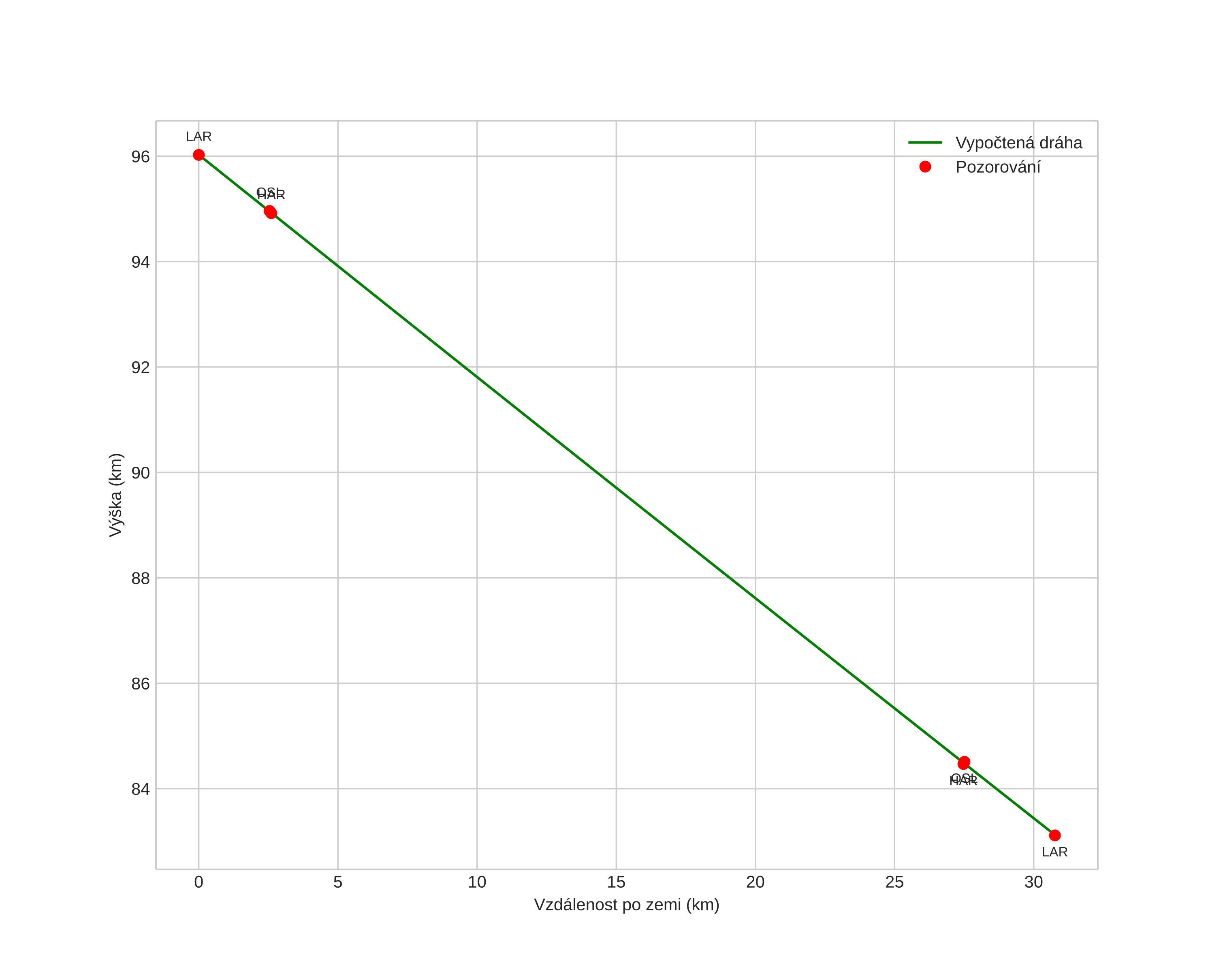
height profile
Atmosférická dráha meteoru:
Počáteční výška: 97,9 km
Konečná výška: 84,2 km
Počáteční poloha: 60,495N 10,007E
Konečná poloha: 60,214N 9,865E
Směr: 194,1°
Sklon: 23,0°
VstupnĂ­ rychlost: 41,3 km/s
Rektascenze radiantu: 15:20 (230,1°)
Deklinace radiantu: 50,1°
MeteorickĂ˝ roj: Kvadrantidy
Elementy dráhy meteoroidu:
Vzdálenost v periheliu: 0,980 AU
Excentricita: 0,606
Sklon dráhy: 69,9°
Délka vzestupného uzlu: 283,4°
Argument perihelia: 172,4°
Střední anomálie: 1,5°
Epocha: 2021 JAN 03 21:07:01
orbit plot

NeinteraktivnĂ­ graf | InteraktivnĂ­ graf

position vs time
speed and acceleration