🇳🇴 🇬🇧 🇩🇪 🇨🇿 🇫🇮

Meteor, poloha: Kristiansund 2021-01-03 21:27:45 UTC

Soubor KML  |  InteraktivnĂ­ mapa

Mapa zobrazuje dráhy meteoru. Světlejší čáry ukazují směry od pozorovacích stanic při objevení se meteoru a tmavší čáry, kde byl naposledy viděn. Modrá šipka značí viditelnou dráhu meteoru.

static map
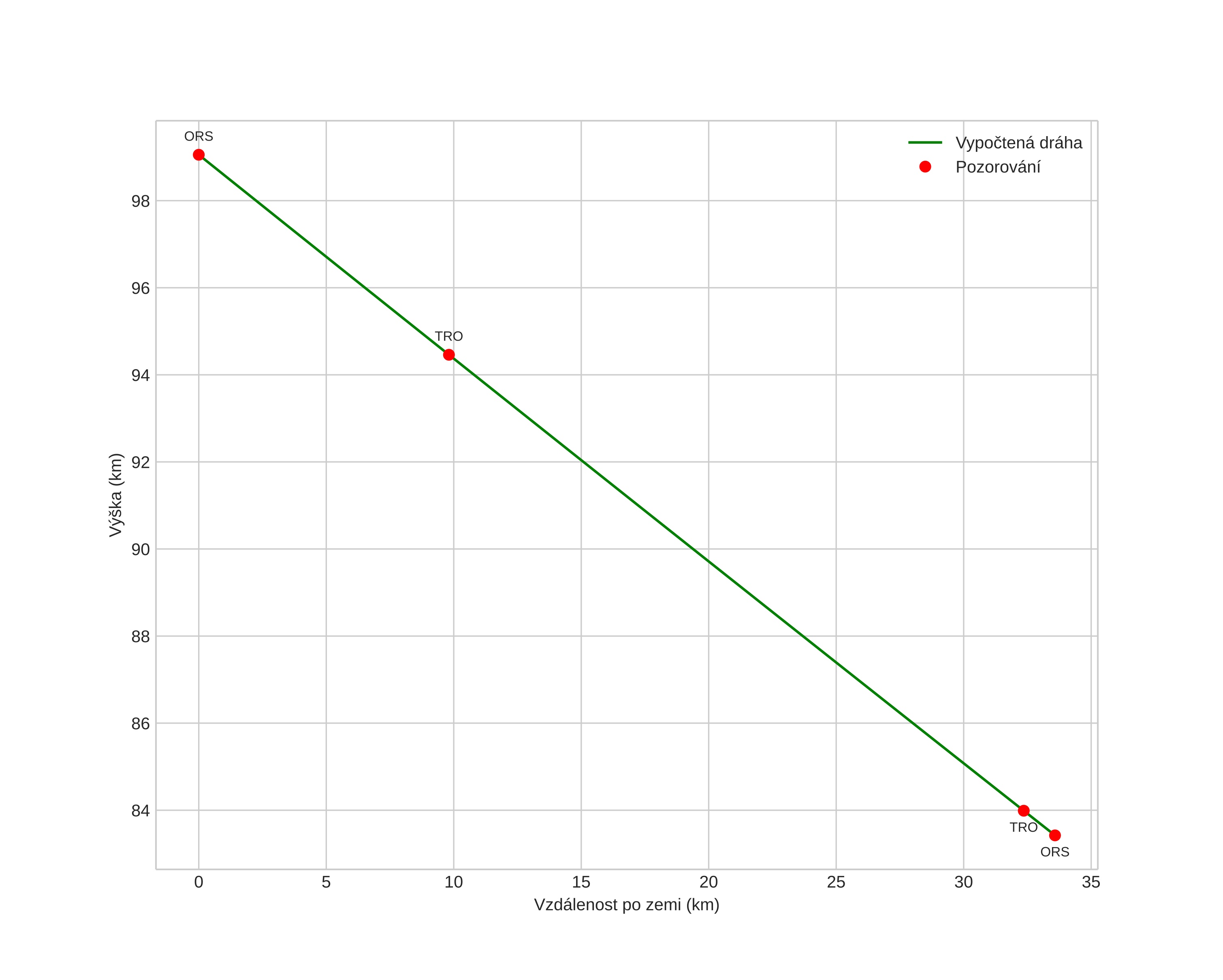
height profile
Atmosférická dráha meteoru:
Počáteční výška: 99,2 km
Konečná výška: 82,8 km
Počáteční poloha: 63,749N 7,787E
Konečná poloha: 63,446N 7,583E
Směr: 196,7°
Sklon: 25,0°
VstupnĂ­ rychlost: 49,9 km/s
Rektascenze radiantu: 15:19 (230,0°)
Deklinace radiantu: 49,0°
MeteorickĂ˝ roj: sporadickĂ˝
Elementy dráhy meteoroidu:
Vzdálenost v periheliu: 0,979 AU
Excentricita: 1,171
Sklon dráhy: 78,9°
Délka vzestupného uzlu: 283,4°
Argument perihelia: 173,1°
Střední anomálie: 0,3°
Epocha: 2021 JAN 03 21:27:45
orbit plot

NeinteraktivnĂ­ graf | InteraktivnĂ­ graf

position vs time
speed and acceleration