🇳🇴 🇬🇧 🇩🇪 🇨🇿 🇫🇮

Meteor, poloha: Heggenes 2021-01-04 01:11:53 UTC

Soubor KML  |  InteraktivnĂ­ mapa

Mapa zobrazuje dráhy meteoru. Světlejší čáry ukazují směry od pozorovacích stanic při objevení se meteoru a tmavší čáry, kde byl naposledy viděn. Modrá šipka značí viditelnou dráhu meteoru.

static map
height profile
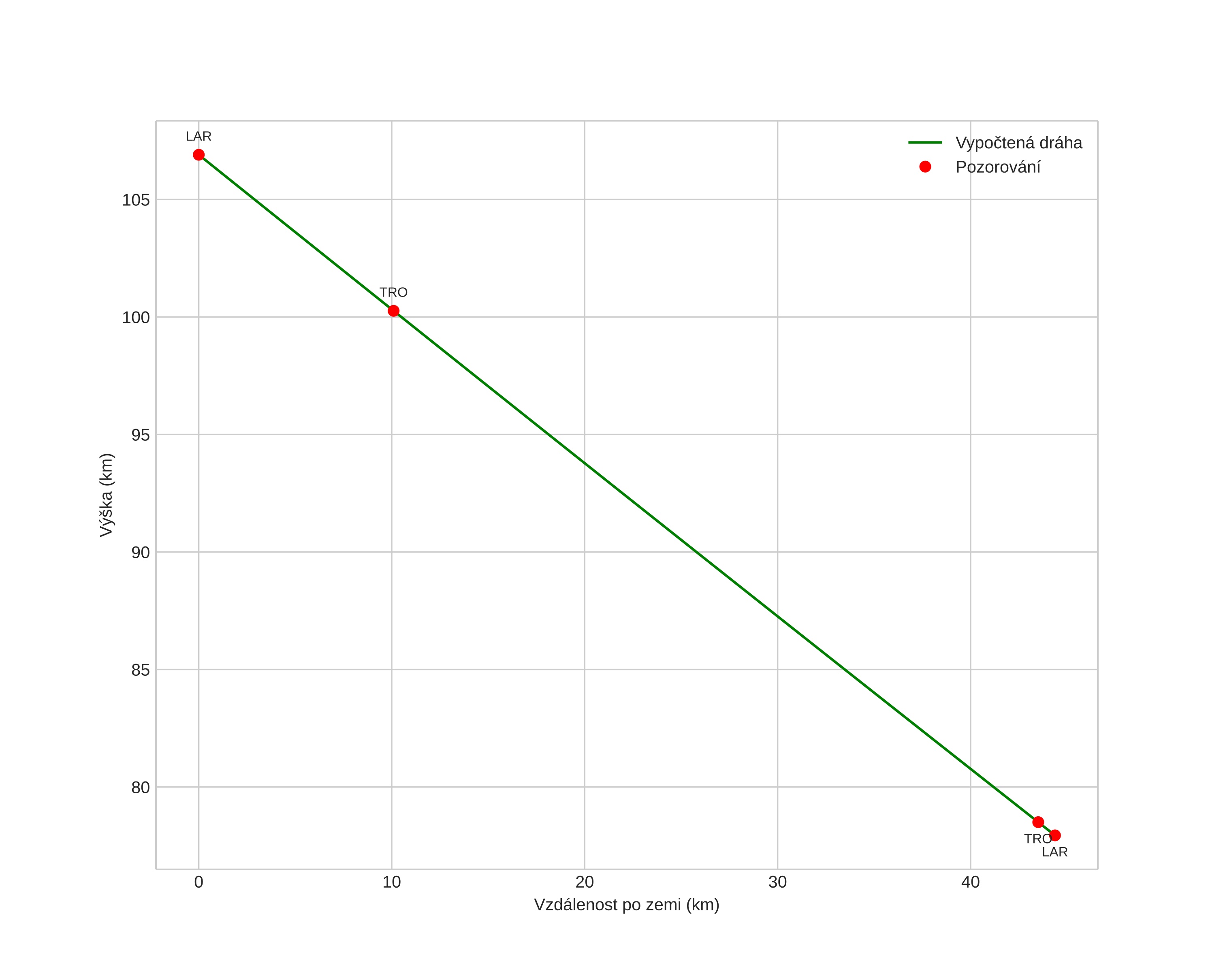
Atmosférická dráha meteoru:
Počáteční výška: 107,0 km
Konečná výška: 77,7 km
Počáteční poloha: 61,319N 9,952E
Konečná poloha: 61,171N 9,177E
Směr: 248,8°
Sklon: 33,3°
VstupnĂ­ rychlost: 54,7 km/s
Rektascenze radiantu: 14:48 (222,1°)
Deklinace radiantu: 38,5°
MeteorickĂ˝ roj: sporadickĂ˝
Elementy dráhy meteoroidu:
Vzdálenost v periheliu: 0,970 AU
Excentricita: 0,957
Sklon dráhy: 93,8°
Délka vzestupného uzlu: 283,6°
Argument perihelia: 166,5°
Střední anomálie: 0,1°
Epocha: 2021 JAN 04 01:11:53
orbit plot

NeinteraktivnĂ­ graf | InteraktivnĂ­ graf

position vs time
speed and acceleration