🇳🇴 🇬🇧 🇩🇪 🇨🇿 🇫🇮

Meteor, poloha: Fossbergom 2021-01-04 04:12:51 UTC

Soubor KML  |  InteraktivnĂ­ mapa

Mapa zobrazuje dráhy meteoru. Světlejší čáry ukazují směry od pozorovacích stanic při objevení se meteoru a tmavší čáry, kde byl naposledy viděn. Modrá šipka značí viditelnou dráhu meteoru.

static map
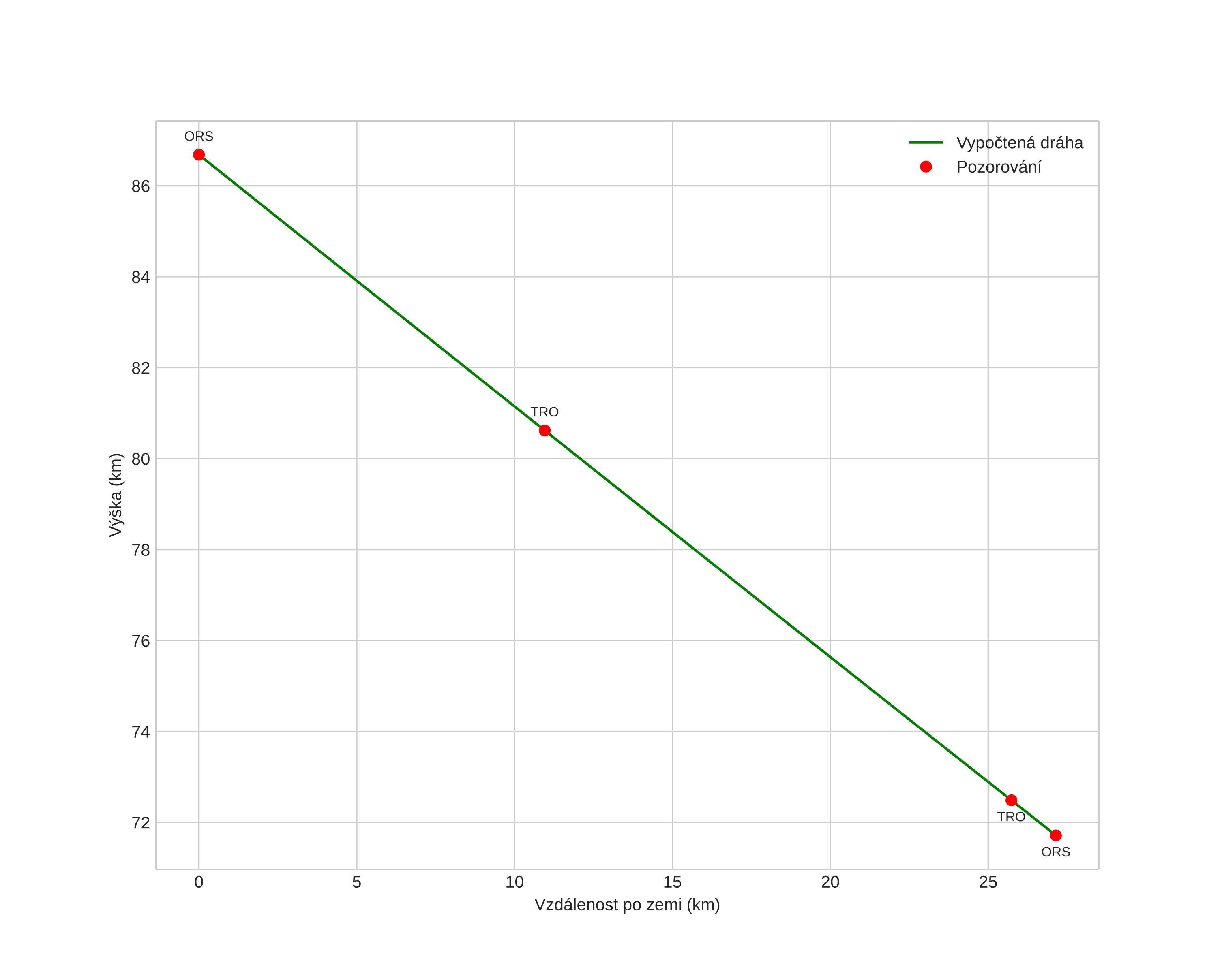
height profile
Atmosférická dráha meteoru:
Počáteční výška: 86,9 km
Konečná výška: 72,4 km
Počáteční poloha: 62,249N 8,369E
Konečná poloha: 62,025N 8,618E
Směr: 152,4°
Sklon: 27,4°
VstupnĂ­ rychlost: 16,5 km/s
Rektascenze radiantu: 02:07 (31,9°)
Deklinace radiantu: 40,5°
MeteorickĂ˝ roj: sporadickĂ˝
Elementy dráhy meteoroidu:
Vzdálenost v periheliu: 0,963 AU
Excentricita: 0,833
Sklon dráhy: 7,7°
Délka vzestupného uzlu: 283,7°
Argument perihelia: 197,5°
Střední anomálie: 359,1°
Epocha: 2021 JAN 04 04:12:51
orbit plot

NeinteraktivnĂ­ graf | InteraktivnĂ­ graf

position vs time
speed and acceleration