🇳🇴 🇬🇧 🇩🇪 🇨🇿 🇫🇮

Meteor, poloha: Ă…ndalsnes 2021-01-05 01:06:41 UTC

Soubor KML  |  InteraktivnĂ­ mapa

Mapa zobrazuje dráhy meteoru. Světlejší čáry ukazují směry od pozorovacích stanic při objevení se meteoru a tmavší čáry, kde byl naposledy viděn. Modrá šipka značí viditelnou dráhu meteoru.

static map
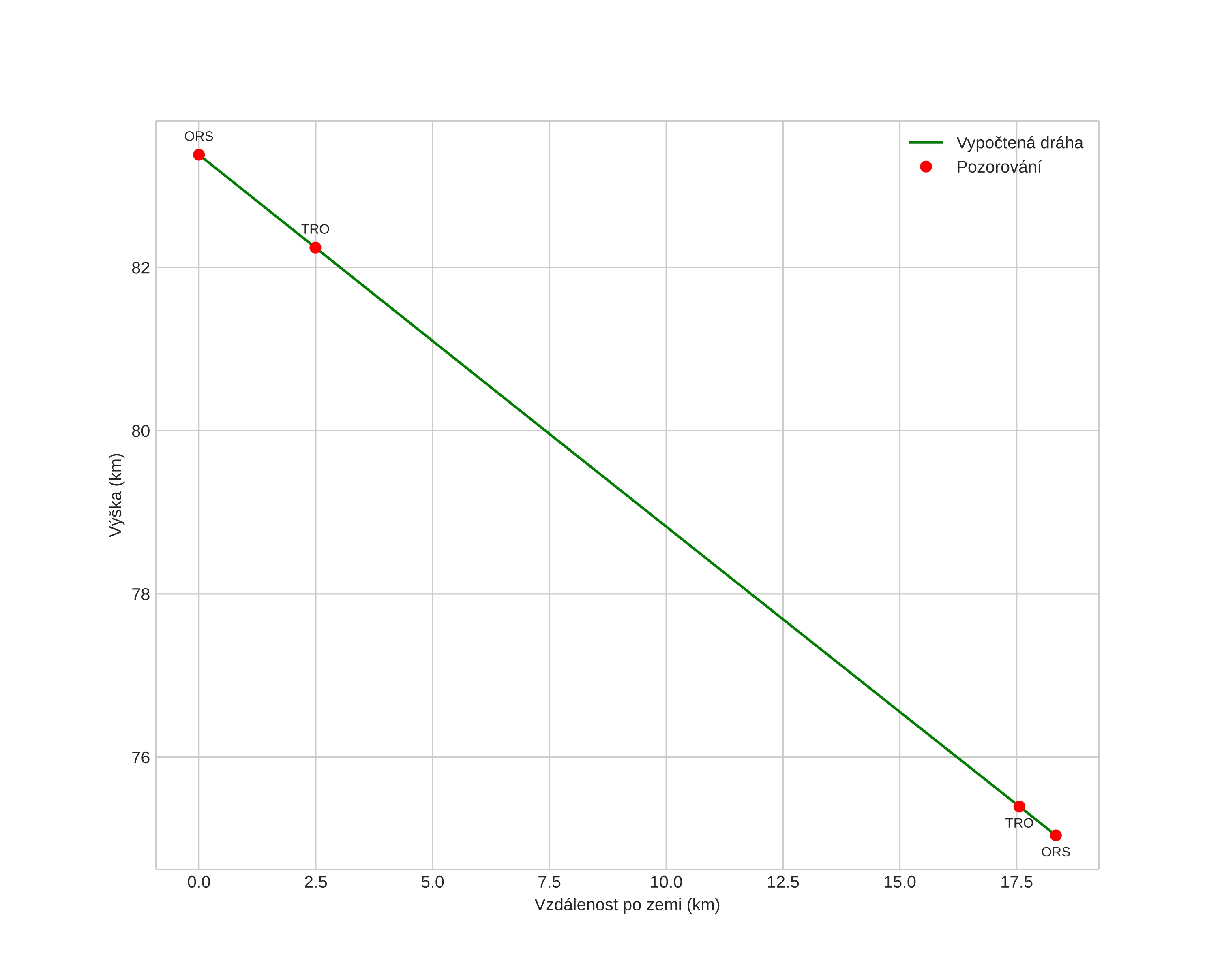
height profile
Atmosférická dráha meteoru:
Počáteční výška: 83,6 km
Konečná výška: 75,1 km
Počáteční poloha: 62,076N 7,662E
Konečná poloha: 62,234N 7,763E
Směr: 16,6°
Sklon: 24,8°
VstupnĂ­ rychlost: 28,5 km/s
Rektascenze radiantu: 07:31 (113,0°)
Deklinace radiantu: -5,0°
MeteorickĂ˝ roj: sporadickĂ˝
Elementy dráhy meteoroidu:
Vzdálenost v periheliu: 0,503 AU
Excentricita: 0,732
Sklon dráhy: 24,4°
Délka vzestupného uzlu: 104,6°
Argument perihelia: 98,9°
Střední anomálie: 342,5°
Epocha: 2021 JAN 05 01:06:41
orbit plot

NeinteraktivnĂ­ graf | InteraktivnĂ­ graf

position vs time
speed and acceleration