🇳🇴 🇬🇧 🇩🇪 🇨🇿 🇫🇮

Meteor Muonion yllä 2021-01-07 18:41:51 UTC

KML-tiedosto  |  Interaktiivinen kartta

Kartta näyttää meteorin suuntahavainnot. Vaaleammat viivat näyttävät suunnat havaintoasemilta meteorin ilmestyessä, ja tummemmat viivat näyttävät, missä se viimeksi nähtiin. Sininen nuoli näyttää meteorin näkyvän lennon.

static map
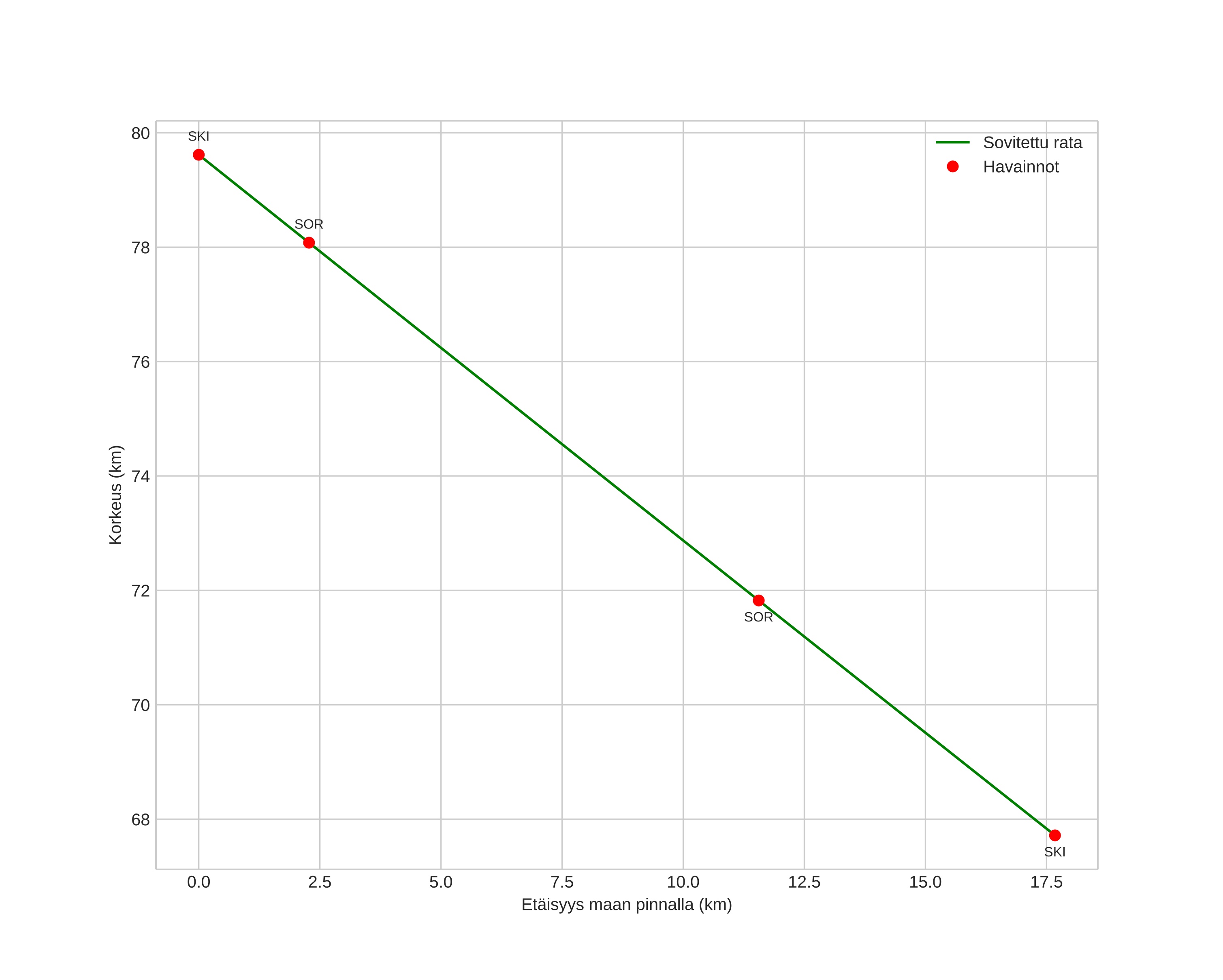
height profile
Meteorin ilmakehärata:
Alkukorkeus: 80,7 km
Loppukorkeus: 65,4 km
Alkupiste: 67,894N 23,544E
Loppupiste: 67,986N 23,053E
Suunta: 296,9°
Kallistuskulma: 33,7°
Tulonopeus: 25,0 km/s
Radiantin R,A,: 07:00 (105,2°)
Radiantin Dekl,: 18,8°
Meteoriparvi: Sporadinen
Meteoroidin rataelementit:
Perihelietäisyys: 0,608 AU
Eksentrisyys: 0,777
Inklinaatio: 2,7°
Nousevan solmun pituus: 107,5°
Perihelin argumentti: 82,7°
Keskianomalia: 350,6°
Epookki: 2021 JAN 07 18:41:51
orbit plot

Ei-interaktiivinen kuvaaja | Interaktiivinen kuvaaja

position vs time
speed and acceleration