🇳🇴 🇬🇧 🇩🇪 🇨🇿 🇫🇮

Meteor, poloha: Slidre 2021-01-08 21:12:36 UTC

Soubor KML  |  InteraktivnĂ­ mapa

Mapa zobrazuje dráhy meteoru. Světlejší čáry ukazují směry od pozorovacích stanic při objevení se meteoru a tmavší čáry, kde byl naposledy viděn. Modrá šipka značí viditelnou dráhu meteoru.

static map
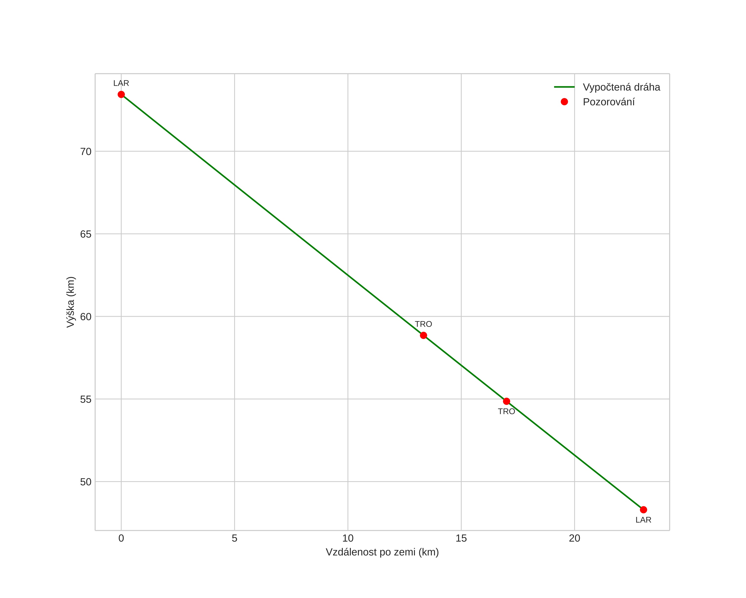
height profile
Atmosférická dráha meteoru:
Počáteční výška: 72,4 km
Konečná výška: 49,0 km
Počáteční poloha: 61,068N 8,704E
Konečná poloha: 60,932N 8,853E
Směr: 151,9°
Sklon: 53,9°
VstupnĂ­ rychlost: 19,6 km/s
Rektascenze radiantu: 21:38 (324,6°)
Deklinace radiantu: 70,4°
MeteorickĂ˝ roj: sporadickĂ˝
Elementy dráhy meteoroidu:
Vzdálenost v periheliu: 0,981 AU
Excentricita: 0,659
Sklon dráhy: 23,3°
Délka vzestupného uzlu: 288,5°
Argument perihelia: 185,8°
Střední anomálie: 359,1°
Epocha: 2021 JAN 08 21:12:36
orbit plot

NeinteraktivnĂ­ graf | InteraktivnĂ­ graf

position vs time
speed and acceleration