🇳🇴 🇬🇧 🇩🇪 🇨🇿 🇫🇮

Meteor, poloha: Storslett 2021-01-11 07:23:49 UTC

Soubor KML  |  InteraktivnĂ­ mapa

Mapa zobrazuje dráhy meteoru. Světlejší čáry ukazují směry od pozorovacích stanic při objevení se meteoru a tmavší čáry, kde byl naposledy viděn. Modrá šipka značí viditelnou dráhu meteoru.

static map
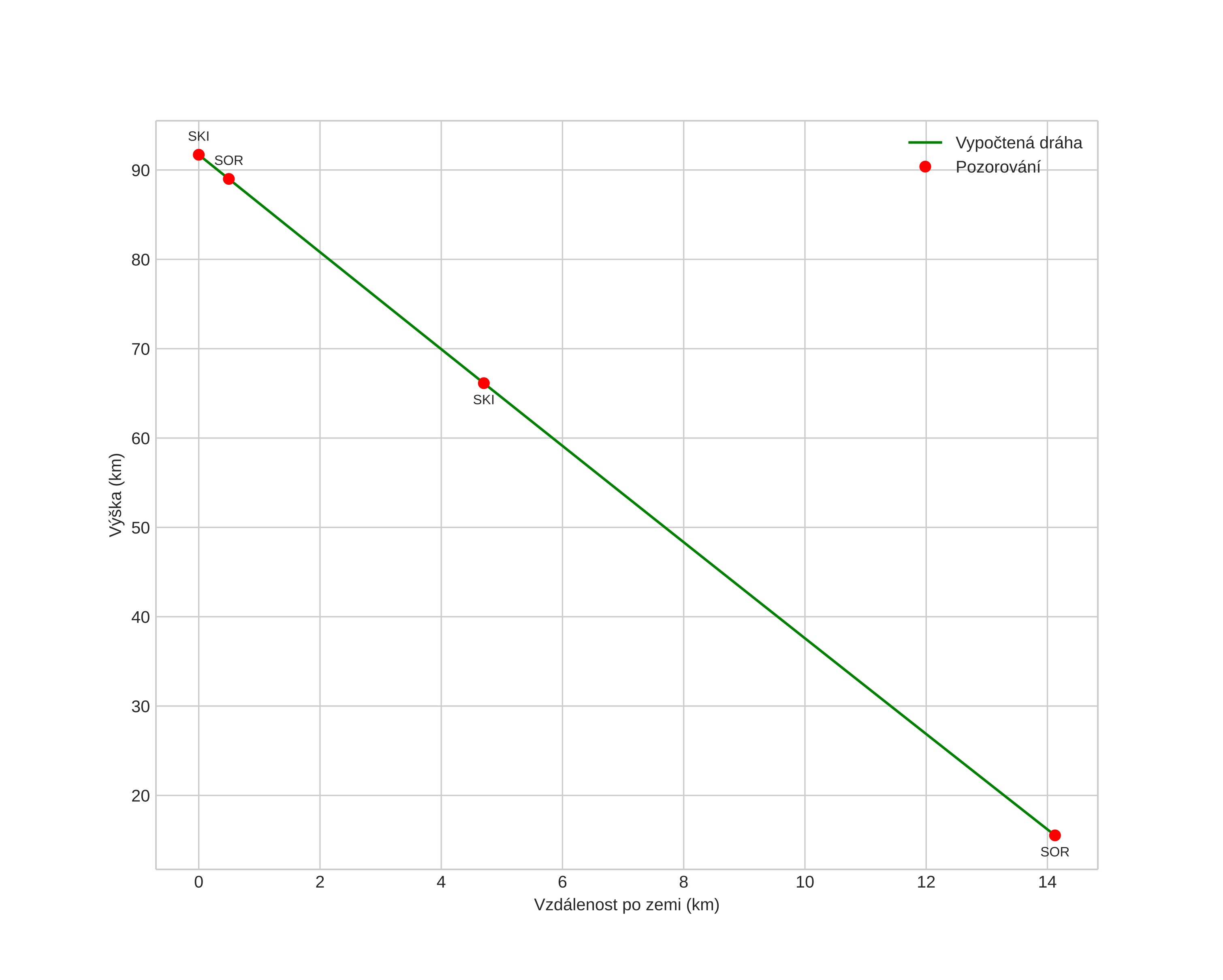
height profile
Atmosférická dráha meteoru:
Počáteční výška: 89,4 km
Konečná výška: 65,9 km
Počáteční poloha: 68,619N 21,271E
Konečná poloha: 68,613N 21,166E
Směr: 259,9°
Sklon: 79,6°
VstupnĂ­ rychlost: 26,6 km/s
Rektascenze radiantu: 18:07 (271,8°)
Deklinace radiantu: 67,9°
MeteorickĂ˝ roj: sporadickĂ˝
Elementy dráhy meteoroidu:
Vzdálenost v periheliu: 0,983 AU
Excentricita: 0,697
Sklon dráhy: 38,1°
Délka vzestupného uzlu: 291,0°
Argument perihelia: 181,3°
Střední anomálie: 359,8°
Epocha: 2021 JAN 11 07:23:49
orbit plot

NeinteraktivnĂ­ graf | InteraktivnĂ­ graf

position vs time
speed and acceleration