🇳🇴 🇬🇧 🇩🇪 🇨🇿 🇫🇮

Meteor, poloha: Fedje 2021-01-15 02:00:29 UTC

Soubor KML  |  InteraktivnĂ­ mapa

Mapa zobrazuje dráhy meteoru. Světlejší čáry ukazují směry od pozorovacích stanic při objevení se meteoru a tmavší čáry, kde byl naposledy viděn. Modrá šipka značí viditelnou dráhu meteoru.

static map
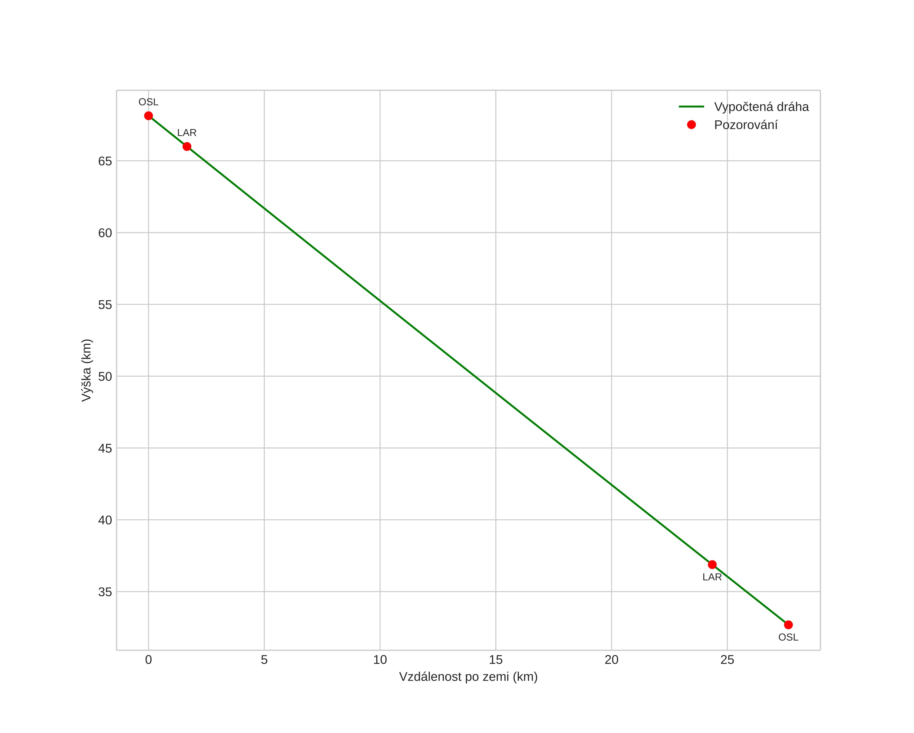
height profile
Atmosférická dráha meteoru:
Počáteční výška: 66,6 km
Konečná výška: 33,8 km
Počáteční poloha: 60,329N 3,212E
Konečná poloha: 60,486N 2,845E
Směr: 311,1°
Sklon: 50,9°
VstupnĂ­ rychlost: 18,0 km/s
Rektascenze radiantu: 12:07 (181,8°)
Deklinace radiantu: 23,7°
MeteorickĂ˝ roj: sporadickĂ˝
Elementy dráhy meteoroidu:
Vzdálenost v periheliu: 0,283 AU
Excentricita: 0,570
Sklon dráhy: 15,2°
Délka vzestupného uzlu: 294,8°
Argument perihelia: 344,1°
Střední anomálie: 226,1°
Epocha: 2021 JAN 15 02:00:29
orbit plot

NeinteraktivnĂ­ graf | InteraktivnĂ­ graf

position vs time
speed and acceleration