🇳🇴 🇬🇧 🇩🇪 🇨🇿 🇫🇮

Meteor, poloha: Ed 2021-01-15 03:07:26 UTC

Soubor KML  |  InteraktivnĂ­ mapa

Mapa zobrazuje dráhy meteoru. Světlejší čáry ukazují směry od pozorovacích stanic při objevení se meteoru a tmavší čáry, kde byl naposledy viděn. Modrá šipka značí viditelnou dráhu meteoru.

static map
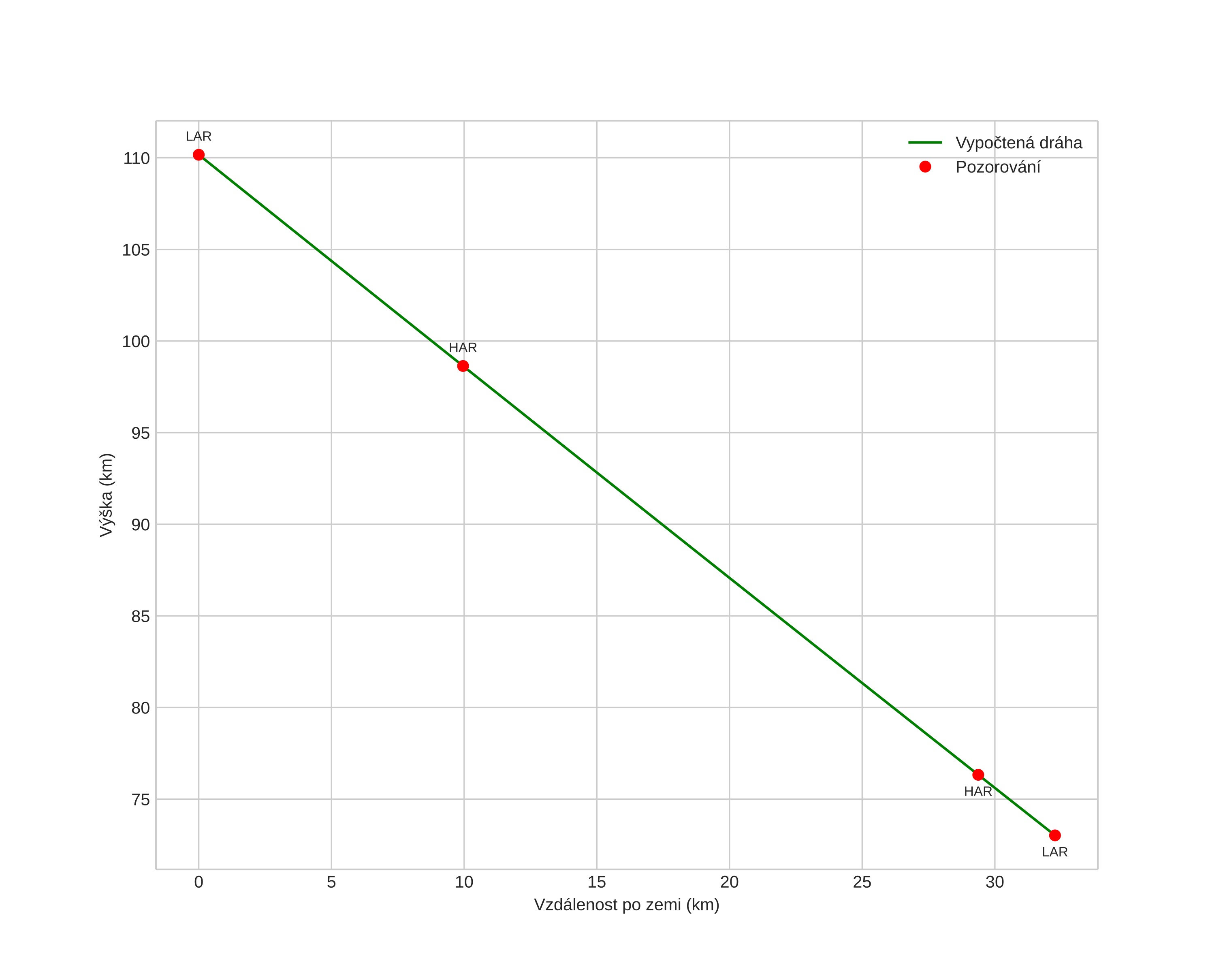
height profile
Atmosférická dráha meteoru:
Počáteční výška: 109,9 km
Konečná výška: 73,5 km
Počáteční poloha: 58,828N 12,420E
Konečná poloha: 58,948N 11,914E
Směr: 295,0°
Sklon: 48,7°
VstupnĂ­ rychlost: 59,4 km/s
Rektascenze radiantu: 14:29 (217,4°)
Deklinace radiantu: 29,6°
MeteorickĂ˝ roj: sporadickĂ˝
Elementy dráhy meteoroidu:
Vzdálenost v periheliu: 0,982 AU
Excentricita: 0,852
Sklon dráhy: 108,9°
Délka vzestupného uzlu: 294,9°
Argument perihelia: 184,9°
Střední anomálie: 359,8°
Epocha: 2021 JAN 15 03:07:26
orbit plot

NeinteraktivnĂ­ graf | InteraktivnĂ­ graf

position vs time
speed and acceleration